2025 Vol. 49, No. 11
Display Method: |
Universality of thermodynamic relation with corrections in Einstein-Bel-Robinson gravity black holes
2025, 49(11): 111001. doi: 10.1088/1674-1137/ade6d3
Abstract:
The generalized thermodynamic extremum relation, as proposed by Goon and Penco, establishes a novel theoretical framework for studying spacetime thermodynamics. However, previous investigations generally assumed that the black hole state parameter is solely a first-order function of the perturbation parameter when exploring the Goon-Penco relation in diverse spacetime contexts. An analytic expression for the perturbation parameter as a function of the black hole entropy can be expressed by treating the black hole mass as constant. The present study addresses this limitation and provides insight into the universal Goon-Penco relation when multiple thermodynamic state parameters behave as higher order functions of the perturbation parameters. Notably, we have not only established a universal relational formula for multiple state variables, but more importantly, we have proposed an innovative conjecture that reveals the existence of a universal relation between displaced thermodynamic quantities in spacetime in the context of an arbitrary black hole. These theoretical breakthroughs are expected to enable new exploration directions for quantum gravity research.
The generalized thermodynamic extremum relation, as proposed by Goon and Penco, establishes a novel theoretical framework for studying spacetime thermodynamics. However, previous investigations generally assumed that the black hole state parameter is solely a first-order function of the perturbation parameter when exploring the Goon-Penco relation in diverse spacetime contexts. An analytic expression for the perturbation parameter as a function of the black hole entropy can be expressed by treating the black hole mass as constant. The present study addresses this limitation and provides insight into the universal Goon-Penco relation when multiple thermodynamic state parameters behave as higher order functions of the perturbation parameters. Notably, we have not only established a universal relational formula for multiple state variables, but more importantly, we have proposed an innovative conjecture that reveals the existence of a universal relation between displaced thermodynamic quantities in spacetime in the context of an arbitrary black hole. These theoretical breakthroughs are expected to enable new exploration directions for quantum gravity research.
2025, 49(11): 112001. doi: 10.1088/1674-1137/aded00
Abstract:
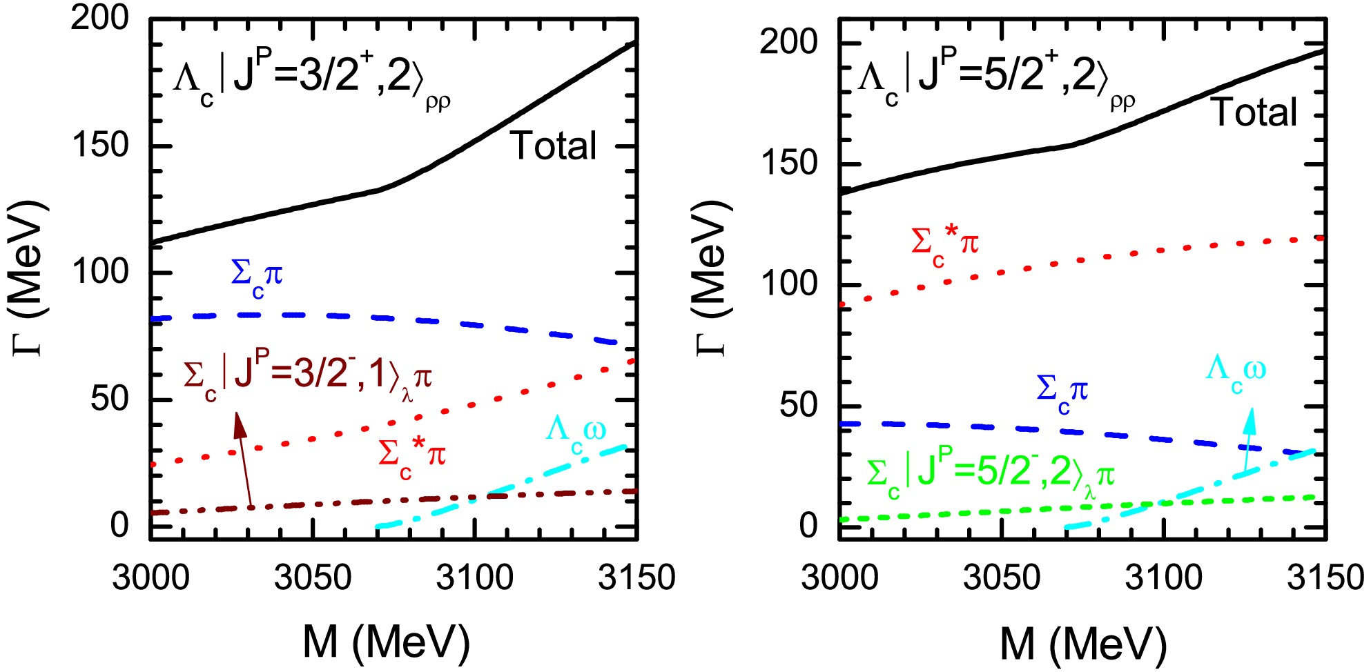
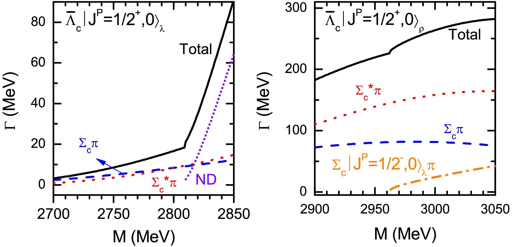
Inspired by the latest experimental progress, we systematically study the Okubo-Zweig-Iizuka (OZI)-allowed two-body strong decay properties of 1P-, 1D-, 2S-, and 2P-wave\begin{document}$ \Lambda_c $\end{document} ![]()
![]()
baryons within the j-j coupling scheme in the framework of the quark pair creation model. The calculations indicate the following. (i) Taking the observed states \begin{document}$ \Lambda_c(2595)^+ $\end{document} ![]()
![]()
and \begin{document}$ \Lambda_c(2625)^+ $\end{document} ![]()
![]()
as the 1P-wave λ-mode states \begin{document}$ \Lambda_c|J^P=1/2^-,1\rangle_{\lambda} $\end{document} ![]()
![]()
and \begin{document}$ \Lambda_c|J^P=3/2^-,1\rangle_{\lambda} $\end{document} ![]()
![]()
, respectively, we can reproduce the experimental data well in theory. (ii) Combined with the measured mass and decay properties of \begin{document}$ \Lambda_c(2860)^+ $\end{document} ![]()
![]()
, this excited state can be explained as the 1D-wave λ-mode state \begin{document}$ \Lambda_c|J^P=3/2^+,1\rangle_{\lambda\lambda} $\end{document} ![]()
![]()
. (iii) The newly observed state \begin{document}$ \Lambda_c(2910)^+ $\end{document} ![]()
![]()
may be assigned as one of the 1P-wave ρ-mode states \begin{document}$ \Lambda_c|J^P=3/2^-,2\rangle_{\rho} $\end{document} ![]()
![]()
or \begin{document}$ \Lambda_c|J^P=5/2^-,2\rangle_{\rho} $\end{document} ![]()
![]()
. Meanwhile, we notice that the partial decay width ratio between \begin{document}$ \Sigma_c\pi $\end{document} ![]()
![]()
and \begin{document}$ \Sigma_c^*\pi $\end{document} ![]()
![]()
for the two candidates is significantly different. Hence, experimental progress in this ratio measurement may elucidate the nature of \begin{document}$ \Lambda_c(2910)^+ $\end{document} ![]()
![]()
. (iv) According to the properties of \begin{document}$ \Lambda_c(2765)^+ $\end{document} ![]()
![]()
, we find that the 2S-wave λ-mode state \begin{document}$ \Lambda_{c1}|J^P=1/2^+,0\rangle_{\lambda} $\end{document} ![]()
![]()
is a potential candidate. (v) The 2P-wave λ-mode state \begin{document}$ \Lambda_{c1}|J^P=3/2^-,1\rangle_{\lambda} $\end{document} ![]()
![]()
is most likely to be a good assignment of the controversial state \begin{document}$ \Lambda_c(2940)^+ $\end{document} ![]()
![]()
. Both the total decay width and partial decay ratio between \begin{document}$ pD^0 $\end{document} ![]()
![]()
and \begin{document}$ \Sigma_c\pi $\end{document} ![]()
![]()
are in good agreement with observations. (vi) In addition, for the missing \begin{document}$ \Lambda_c $\end{document} ![]()
![]()
excitations, we obtain their strong decay properties and hope these are useful for future experimental exploration.
Inspired by the latest experimental progress, we systematically study the Okubo-Zweig-Iizuka (OZI)-allowed two-body strong decay properties of 1P-, 1D-, 2S-, and 2P-wave
2025, 49(11): 113001. doi: 10.1088/1674-1137/adf6e0
Abstract:
This study investigates the intrinsic electric dipole moment (EDM) of the τ lepton, which is an important quantity in the search for physics beyond the Standard Model (BSM). In preparation for future measurements at the Super Tau-Charm Facility (STCF), we employ Monte Carlo simulations of the\begin{document}$ e^+e^- \rightarrow \tau^+\tau^- $\end{document} ![]()
![]()
process and optimize the analysis methodology for EDM extraction. Machine learning techniques are implemented to efficiently identify signal events (\begin{document}$ \tau^\pm\rightarrow \pi^\pm\pi^0\nu_\tau $\end{document} ![]()
![]()
), which result in a significant improvement in signal-to-noise ratio. Our optimized event selection algorithm achieves 80.0% signal purity with 6.3% efficiency. We develop an analytical approach for τ lepton momentum reconstruction and derive the squared spin density matrix along with optimal observables, which maximize the sensitivity to \begin{document}$ d_\tau $\end{document} ![]()
![]()
. The relationship between these observables and the EDM is established with the estimated sensitivity of \begin{document}$ |d_\tau| < 3.89\times 10^{-18}\,e\cdot\mathrm{cm} $\end{document} ![]()
![]()
at a 68% confidence level. These results provide a foundation for future experimental measurements of the τ lepton EDM in STCF experiments.
This study investigates the intrinsic electric dipole moment (EDM) of the τ lepton, which is an important quantity in the search for physics beyond the Standard Model (BSM). In preparation for future measurements at the Super Tau-Charm Facility (STCF), we employ Monte Carlo simulations of the
2025, 49(11): 113101. doi: 10.1088/1674-1137/adf183
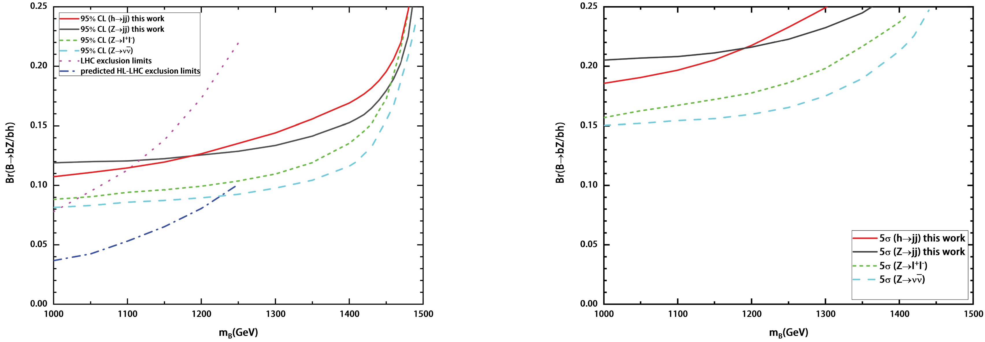
Abstract:
Vector-like quarks (VLQs) feature in new physics models beyond the standard model (SM) to address certain problems it faces. In this study, we investigate the pair production of TeV-scale vector-like B quark (VLQ-B) at the proposed 3 TeV compact linear collider (CLIC) using a simplified effective lagrangian framework. We consider the decay modes of\begin{document}$ B\rightarrow bZ $\end{document} ![]()
![]()
and \begin{document}$ B\rightarrow bh $\end{document} ![]()
![]()
, coupled with the hadronic decay of Z and h bosons. The large mass of VLQ-B results in highly boosted Z or h bosons, which tend to form fat-jets. Using detector simulation of the signal and background events, along with jet clustering employing a large radius R, we conduct signal-background analyses. Exclusion limits at the 95% confidence level and 5\begin{document}$ \sigma $\end{document} ![]()
![]()
discovery prospects are obtained assuming an integrated luminosity of 5 ab−1.
Vector-like quarks (VLQs) feature in new physics models beyond the standard model (SM) to address certain problems it faces. In this study, we investigate the pair production of TeV-scale vector-like B quark (VLQ-B) at the proposed 3 TeV compact linear collider (CLIC) using a simplified effective lagrangian framework. We consider the decay modes of
2025, 49(11): 113102. doi: 10.1088/1674-1137/adec50
Abstract:
We use a modified relativistic quark model to study the properties of excited charmed and charmed strange mesons. We calculate the masses and wave functions of conventional charmed and charmed strange mesons incorporating both spin and S-D mixing effects and fit parameters of the potential model with known experimental states using differential evolution techniques. Using leading Born-Oppenheimer expansion, we compute the spectrum and wave functions of the first gluonic excited state of charmed and charmed strange mesons. We examine the effects of gluonic excitation on the spectrum of the resulting hybrid mesons. Using our calculated spectrum and wave functions, we determine the radiative transitions of the conventional and hybrid open charm mesons. We compare our calculations with experimental data and other works. We expect our results will be beneficial in the detection of charmed and charmed strange conventional and hybrid mesons.
We use a modified relativistic quark model to study the properties of excited charmed and charmed strange mesons. We calculate the masses and wave functions of conventional charmed and charmed strange mesons incorporating both spin and S-D mixing effects and fit parameters of the potential model with known experimental states using differential evolution techniques. Using leading Born-Oppenheimer expansion, we compute the spectrum and wave functions of the first gluonic excited state of charmed and charmed strange mesons. We examine the effects of gluonic excitation on the spectrum of the resulting hybrid mesons. Using our calculated spectrum and wave functions, we determine the radiative transitions of the conventional and hybrid open charm mesons. We compare our calculations with experimental data and other works. We expect our results will be beneficial in the detection of charmed and charmed strange conventional and hybrid mesons.
2025, 49(11): 113103. doi: 10.1088/1674-1137/ade6d8
Abstract:
The magnitude of the direct CP asymmetry generated during the weak decay of hadrons is attributed to the weak phase and certain strong phases. The weak phase originates from the CKM matrix, while a strong phase may result from the resonance effect produced by the mixing of vector mesons\begin{document}$ V\left\{\rho^{0}(770),\,\omega(782),\,\phi(1020)\right\} $\end{document} ![]()
![]()
to \begin{document}$ \pi^+ \pi^- $\end{document} ![]()
![]()
meson pairs. \begin{document}$ \rho^{0}(770) $\end{document} ![]()
![]()
can decay directly into \begin{document}$ \pi^+ \pi^- $\end{document} ![]()
![]()
meson pairs; both \begin{document}$ \omega(782) $\end{document} ![]()
![]()
and \begin{document}$ \phi(1020) $\end{document} ![]()
![]()
can also decay into \begin{document}$ \pi^+ \pi^- $\end{document} ![]()
![]()
meson pairs, with a small contribution from isospin symmetry breaking. The main contribution for the middle state vector meson \begin{document}$ \rho^{0}(770)-\omega(782)-\phi(1020) $\end{document} ![]()
![]()
interference is the mix of \begin{document}$ \rho^{0}(770) $\end{document} ![]()
![]()
, \begin{document}$ \omega(782)-\rho^{0}(770) $\end{document} ![]()
![]()
, and \begin{document}$ \phi(1020)-\rho^{0}(770) $\end{document} ![]()
![]()
. We calculated the CP asymmetry and decay branching ratio for \begin{document}$ \bar{B}^0_{s} \rightarrow \pi^+ \pi^- \pi^0 (\bar K ^{0}) $\end{document} ![]()
![]()
within the framework of QCD factorization and compared them with previous studies. We also analyzed the \begin{document}$ \bar{B}^0_{s} \rightarrow \pi^+ \pi^- \eta(\eta^{(')}) $\end{document} ![]()
![]()
decay process. The results show that the CP asymmetry of these four decay processes is significantly enhanced, especially for the \begin{document}$ \bar{B}^0_{s} \rightarrow \pi^+ \pi^- \bar K ^{0} $\end{document} ![]()
![]()
decay process. Moreover, the decay branching ratio also changes under the resonance effect. These results might provide support for the experimental analysis of the \begin{document}$ \bar B^{0}_s $\end{document} ![]()
![]()
meson.
The magnitude of the direct CP asymmetry generated during the weak decay of hadrons is attributed to the weak phase and certain strong phases. The weak phase originates from the CKM matrix, while a strong phase may result from the resonance effect produced by the mixing of vector mesons
2025, 49(11): 113104. doi: 10.1088/1674-1137/aded06
Abstract:
Motivated by the first observation of\begin{document}$\rm CP $\end{document} ![]()
![]()
violation in baryon decays, we study the topological amplitudes of bottom baryon decays in the \begin{document}$ S U(3)_{\rm F} $\end{document} ![]()
![]()
limit. The topological diagrams of the charmless two-body decays of bottom baryons are presented in detail. The linear relations between topologies and \begin{document}$ S U(3) $\end{document} ![]()
![]()
irreducible amplitudes are derived through tensor contraction and \begin{document}$ S U(3) $\end{document} ![]()
![]()
decomposition. Four amplitudes among the 13 independent amplitudes are critical to the \begin{document}$\rm CP$\end{document} ![]()
![]()
asymmetries. The small \begin{document}$ \rm CP $\end{document} ![]()
![]()
asymmetries might indicate small relative strong phases between amplitudes \begin{document}$ A_2 $\end{document} ![]()
![]()
and \begin{document}$ A_{12,14}^\prime $\end{document} ![]()
![]()
. To avoid them, we suggest measuring \begin{document}$\rm CP $\end{document} ![]()
![]()
asymmetries in the \begin{document}$ \Xi^0_b\to pK^- $\end{document} ![]()
![]()
and \begin{document}$ \Xi^-_b\to \Lambda^0 K^- $\end{document} ![]()
![]()
decays. Furthermore, the Körner-Pati-Woo theorem can be tested by measuring the branching fractions of the \begin{document}$ \Lambda_b^0\to\Sigma^0K^0_S $\end{document} ![]()
![]()
and \begin{document}$ \Lambda_b^0\to\Sigma^-K^+ $\end{document} ![]()
![]()
modes.
Motivated by the first observation of
2025, 49(11): 113105. doi: 10.1088/1674-1137/adf1f7
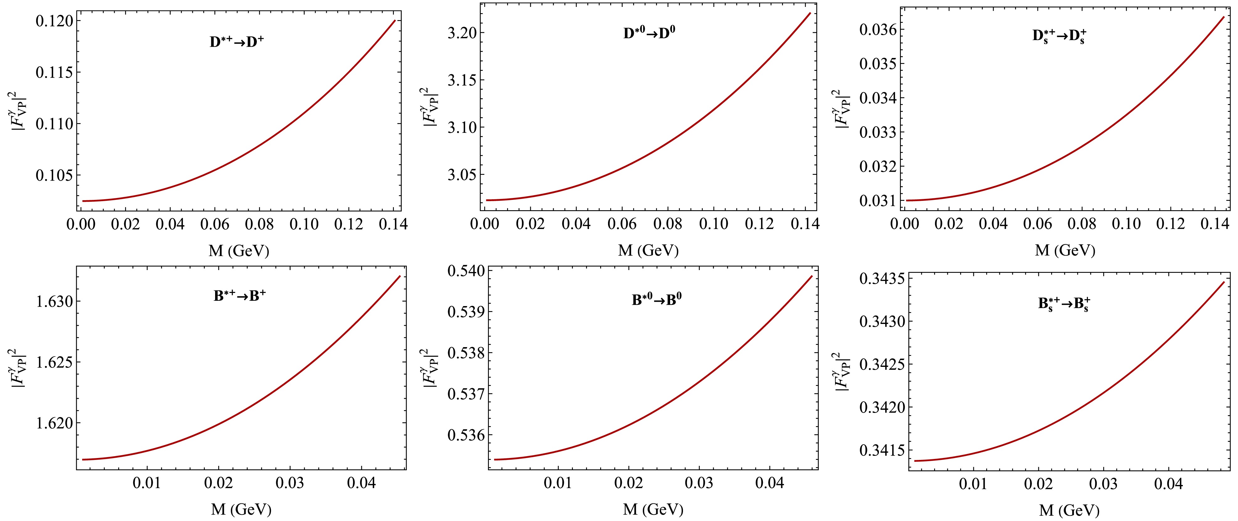
Abstract:
Recent anomalies observed in\begin{document}$ e^+e^- $\end{document} ![]()
![]()
nuclear transitions of \begin{document}$ ^8 {{\rm{Be}}} $\end{document} ![]()
![]()
, \begin{document}$ ^4 {\rm{He}} $\end{document} ![]()
![]()
, and \begin{document}$ ^{12} {\rm{C}} $\end{document} ![]()
![]()
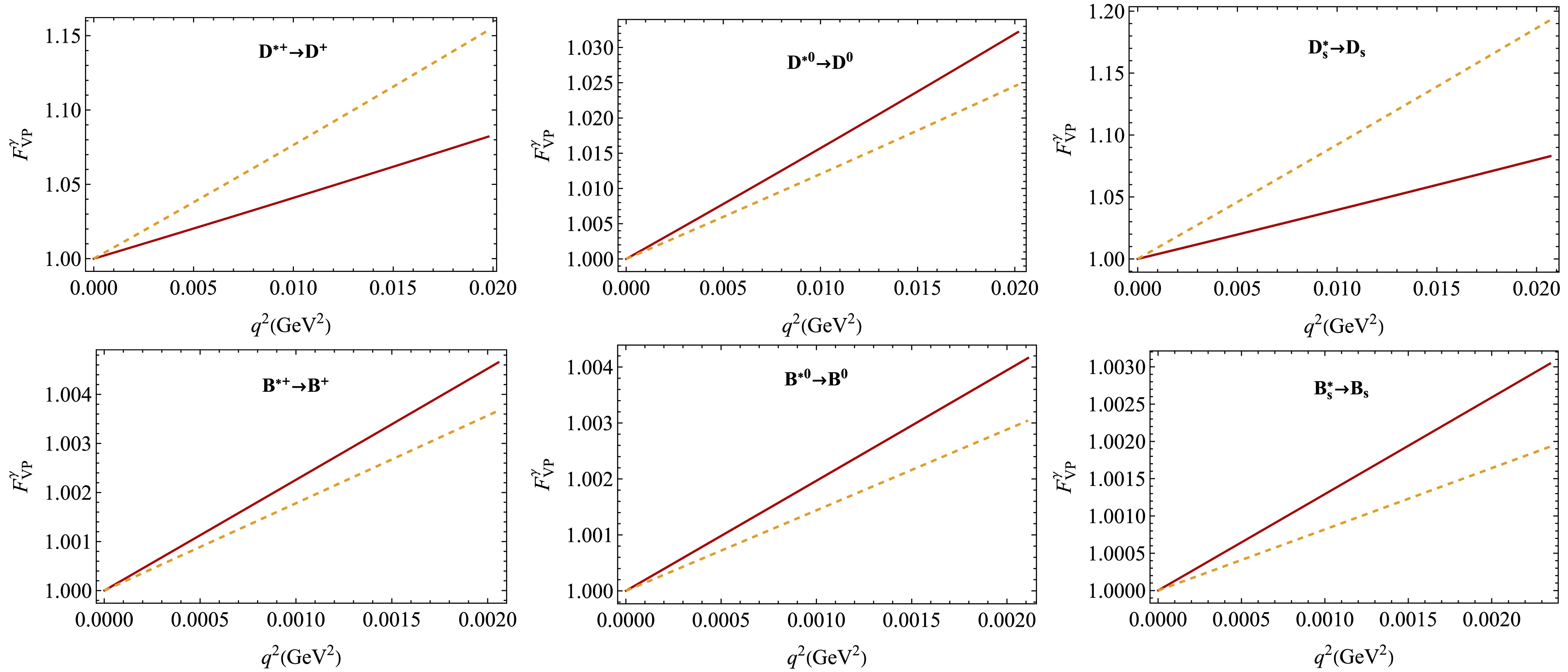
by the ATOMKI collaboration may hint at the existence of a vector boson with a mass around 17 MeV, which is referred to as X17. If it exists, this boson would affect similar processes in particle physics, including the Dalitz decays of vector mesons. Recently, the BESIII collaboration measured the Dalitz decay \begin{document}$ D^{*0}\to D^0e^+e^- $\end{document} ![]()
![]()
for the first time and reported a \begin{document}$ 3.5\sigma $\end{document} ![]()
![]()
excess over the theoretical prediction based on the vector meson dominance (VMD) model. This excess may be another signal of X17. In this study, we investigate the possible effects of X17 on the Dalitz decays \begin{document}$ D^*_{(s)}\to D_{(s)}e^+e^- $\end{document} ![]()
![]()
, \begin{document}$ B^*_{(s)}\to B_{(s)}e^+e^- $\end{document} ![]()
![]()
, and \begin{document}$ J/\psi\to \eta_ce^+e^- $\end{document} ![]()
![]()
. The required hadronic form factors are calculated within the framework of our covariant confined quark model without relying on heavy quark effective theory or the VMD model. We present predictions for the Dalitz decay widths and the ratios \begin{document}$ R_{ee}(V)\equiv \Gamma(V\to Pe^+e^-)/\Gamma(V\to P\gamma) $\end{document} ![]()
![]()
within the standard model and in several new physics scenarios involving modifications attributed to X17. Our results are compared with other theoretical calculations.
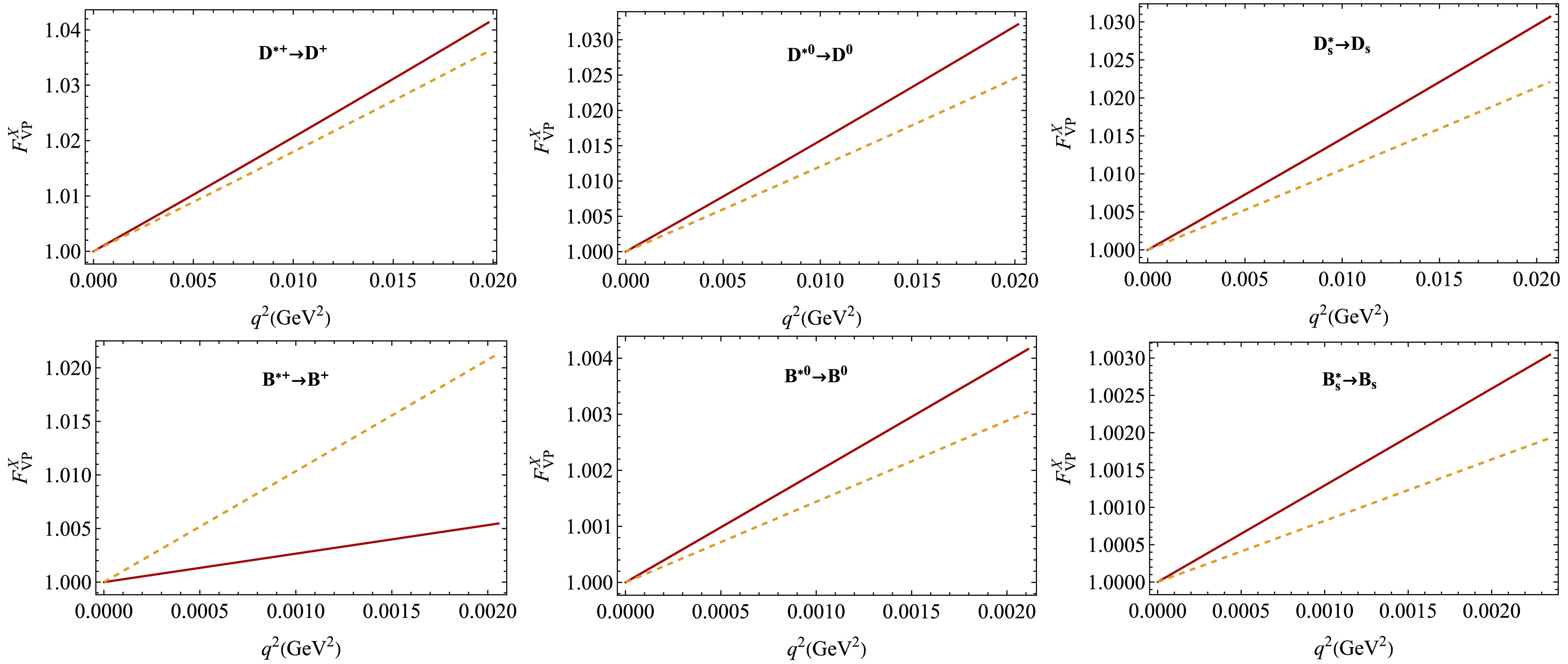
Recent anomalies observed in
2025, 49(11): 113106. doi: 10.1088/1674-1137/adf1f2
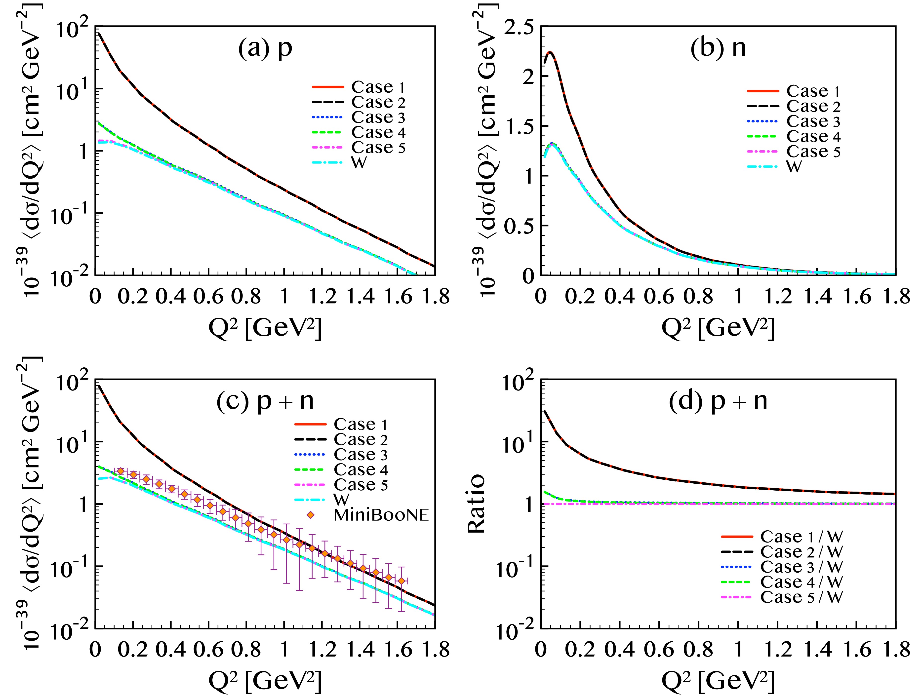
Abstract:
In the quasielastic region, we investigate the impact of neutrino electromagnetic properties—constrained by recent experimental data—on the electroweak neutral current reaction process\begin{document}$ ^{12}{\rm{C}}(\nu,\nu') $\end{document} ![]()
![]()
. To describe nuclear dynamics relativistically, we employ the quantum hadrodynamics model, which can reliably reproduce experimental results in this kinematic regime. In this study, we explore physics beyond the Standard Model by incorporating the neutrino’s magnetic and electric dipole form factors, as well as its charge radius, into the electroweak interaction framework within 12C. Specifically, we use experimentally derived values for the neutrino charge radius and magnetic moment at zero four-momentum transfer (\begin{document}$ Q^2 = 0 $\end{document} ![]()
![]()
) to compute the differential cross section of ν-12C scattering. Our results indicate that the contributions from the charge radius and electric dipole form factor are negligible. However, the magnetic moment exhibits a pronounced dependence on \begin{document}$ Q^2 $\end{document} ![]()
![]()
, and its effect becomes significant at low momentum transfers.
In the quasielastic region, we investigate the impact of neutrino electromagnetic properties—constrained by recent experimental data—on the electroweak neutral current reaction process
2025, 49(11): 113107. doi: 10.1088/1674-1137/adf178
Abstract:
The rigorous calculation of the spin-orbit terms in a three-quark system is realized based on the Gaussian expansion method and the infinitesimally-shifted Gaussian basis functions in the framework of the relativized quark model, by ignoring the mixing between different excited states. Then, the complete mass spectra of the singly heavy baryons are obtained rigorously, under the heavy-quark dominance mechanism. Accordingly, systematical analyses are performed for the reliability and predictive power of the model, the fine structure of the singly heavy baryon spectra, the assignments of the excited baryons, and some important topics about heavy baryon spectroscopy, such as the missing states, "spin-orbit puzzle," and clustering effect. The results confirm that, under the heavy-quark dominance mechanism, the relativized quark model can describe the excitation spectra and the fine structures of the singly heavy baryons correctly and precisely.
The rigorous calculation of the spin-orbit terms in a three-quark system is realized based on the Gaussian expansion method and the infinitesimally-shifted Gaussian basis functions in the framework of the relativized quark model, by ignoring the mixing between different excited states. Then, the complete mass spectra of the singly heavy baryons are obtained rigorously, under the heavy-quark dominance mechanism. Accordingly, systematical analyses are performed for the reliability and predictive power of the model, the fine structure of the singly heavy baryon spectra, the assignments of the excited baryons, and some important topics about heavy baryon spectroscopy, such as the missing states, "spin-orbit puzzle," and clustering effect. The results confirm that, under the heavy-quark dominance mechanism, the relativized quark model can describe the excitation spectra and the fine structures of the singly heavy baryons correctly and precisely.
2025, 49(11): 113108. doi: 10.1088/1674-1137/adf1ef
Abstract:
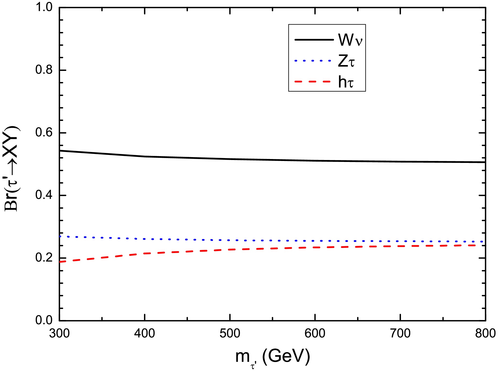
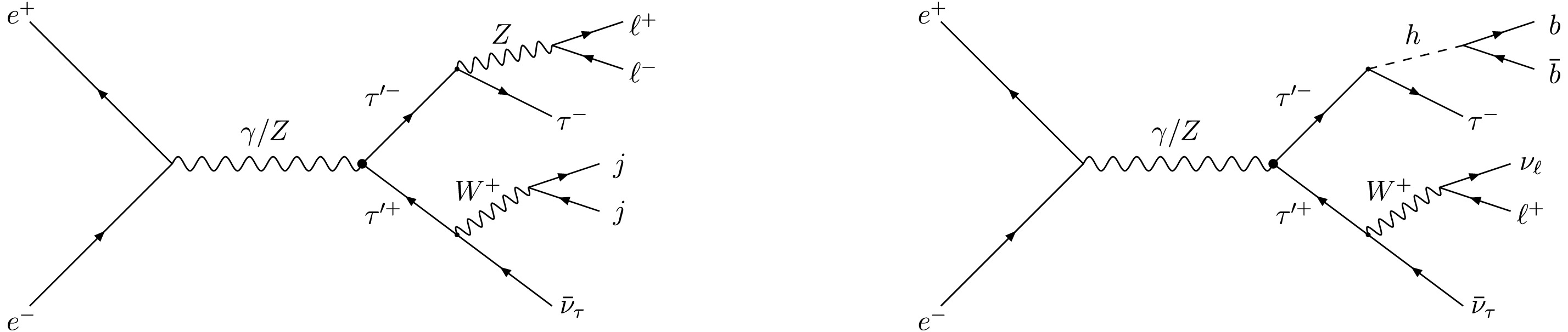
Within minimal extensions of the Standard Model, including weak isosinglet vector-like leptons (VLLs,\begin{document}$ \tau'^{\pm} $\end{document} ![]()
![]()
), we investigate the pair production of VLLs at future \begin{document}$ e^+e^- $\end{document} ![]()
![]()
colliders, incorporating the full simulation of the initial state radiation and beam polarization effects. Two characteristic decay channels are analyzed: (i) the dilepton final state \begin{document}$ 2\ell+2j+1\tau+\not {E}_T $\end{document} ![]()
![]()
(\begin{document}$ \ell = e, \mu $\end{document} ![]()
![]()
) from \begin{document}$ \tau'\to Z\tau/W\nu_\tau $\end{document} ![]()
![]()
with \begin{document}$ Z\to\ell\ell $\end{document} ![]()
![]()
and \begin{document}$ W\to jj $\end{document} ![]()
![]()
, and (ii) the single-lepton final state \begin{document}$ 1\ell+2b+1\tau+\not {E}_T $\end{document} ![]()
![]()
from \begin{document}$ \tau'\to h\tau/W\nu_\tau $\end{document} ![]()
![]()
with \begin{document}$ h\to b\bar{b} $\end{document} ![]()
![]()
and \begin{document}$ W\to\ell\nu $\end{document} ![]()
![]()
. By performing detailed detector-level simulations of both signal and background processes, we obtain the \begin{document}$ 2\sigma $\end{document} ![]()
![]()
exclusion limits and \begin{document}$ 5\sigma $\end{document} ![]()
![]()
discovery potential as functions of the VLL mass and integrated luminosity. The results demonstrate that future \begin{document}$ e^+e^- $\end{document} ![]()
![]()
colliders can probe VLL masses up to \begin{document}$ m_{\tau'} \lesssim 490 $\end{document} ![]()
![]()
GeV at \begin{document}$ \sqrt{s}=1 $\end{document} ![]()
![]()
TeV, 740 GeV at \begin{document}$ \sqrt{s}=1.5 $\end{document} ![]()
![]()
TeV, and 1440 GeV at \begin{document}$ \sqrt{s}=3 $\end{document} ![]()
![]()
TeV, significantly exceeding LHC sensitivity while enabling precision measurements in the clean lepton-collider environment.
Within minimal extensions of the Standard Model, including weak isosinglet vector-like leptons (VLLs,
2025, 49(11): 113109. doi: 10.1088/1674-1137/adf321
Abstract:
Motivated by the gradual increase in experimental data, we revisit the couplings of axion-like particle (ALP) to electroweak gauge bosons across the ALP mass range from MeV to 100 GeV. We extend both current and projected experimental limits on these couplings, including the ALP couplings with W-boson\begin{document}$ g_{aW} $\end{document} ![]()
![]()
and hypercharge B-boson \begin{document}$ g_{aB} $\end{document} ![]()
![]()
. To clarify the contributions from electroweak boson couplings, we analyze and compare the resulting effects for various values of \begin{document}$ g_{aW} $\end{document} ![]()
![]()
and \begin{document}$ g_{aB} $\end{document} ![]()
![]()
. The couplings induce flavor-conserving ALP interactions with standard model fermions at the one-loop level, while \begin{document}$ g_{aW} $\end{document} ![]()
![]()
additionally results in flavor-changing ALP-quark couplings. These phenomena warrant further investigation through rare meson decays and neutral meson mixing processes, particularly in light of recent results from \begin{document}$ B^+\to K^+\nu\bar{\nu} $\end{document} ![]()
![]()
and \begin{document}$ K^+\to \pi^+\nu\bar{\nu} $\end{document} ![]()
![]()
. We find that the rare two-body decays of pseudoscalar mesons offer the most sensitive probes below the kinematic threshold. In the high-mass region, complementary bounds arise from Pb-Pb collision and Z-boson measurements, including the invisible decay \begin{document}$ Z\to a\gamma $\end{document} ![]()
![]()
with subsequent ALP decays and constraints from oblique parameters (S, T, U). Future lepton colliders, such as CEPC and FCC-ee operating at the Z-pole, along with the search for hidden particles, provide further opportunities to probe ALP couplings to electroweak gauge bosons.
Motivated by the gradual increase in experimental data, we revisit the couplings of axion-like particle (ALP) to electroweak gauge bosons across the ALP mass range from MeV to 100 GeV. We extend both current and projected experimental limits on these couplings, including the ALP couplings with W-boson
2025, 49(11): 113110. doi: 10.1088/1674-1137/adec4c
Abstract:
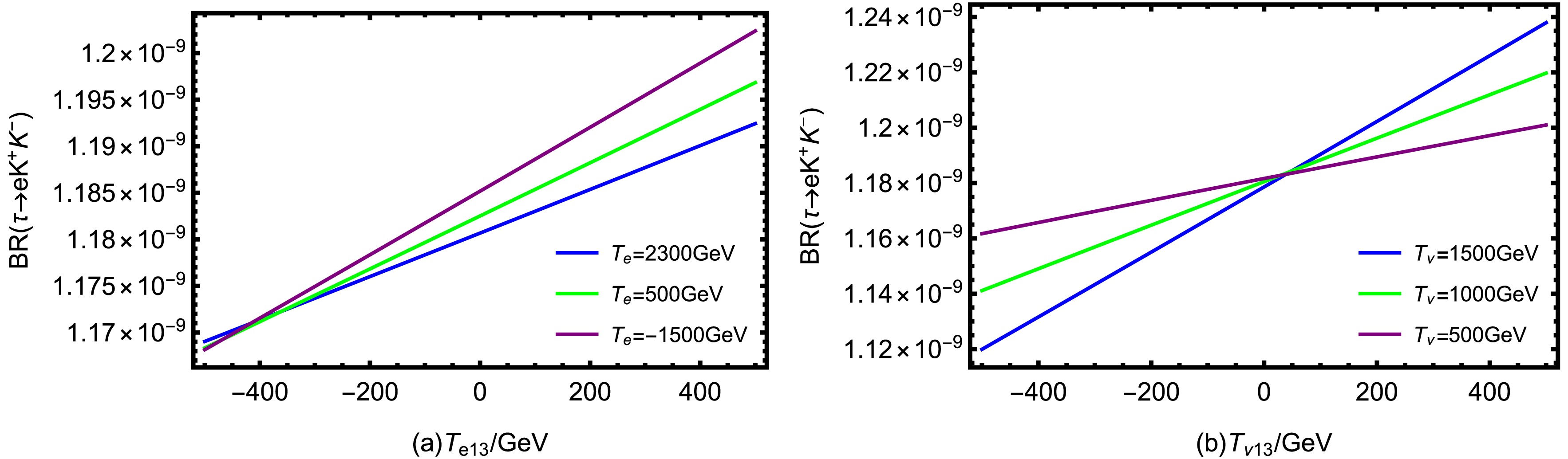
Within the framework of the next-to-minimal supersymmetric (SUSY) extension of the Standard Model (SM) with a local B-L gauge symmetry (N-B-LSSM), we study lepton flavor violating (LFV)\begin{document}$ \tau\rightarrow e M^+ M^- $\end{document} ![]()
![]()
decays: \begin{document}$ \tau \rightarrow e \pi^+\pi^- $\end{document} ![]()
![]()
, \begin{document}$ \tau \rightarrow e \pi^+K^- $\end{document} ![]()
![]()
, and \begin{document}$ \tau \rightarrow e K^+K^- $\end{document} ![]()
![]()
. Based on the latest experimental data, the influence of different sensitive parameters on the branching ratios is considered. It can be seen from the numerical analysis that the main sensitive parameters and LFV sources are non-diagonal elements corresponding to the initial and final leptons. This work can provide a basis for discovering the existence of new physics (NP).
Within the framework of the next-to-minimal supersymmetric (SUSY) extension of the Standard Model (SM) with a local B-L gauge symmetry (N-B-LSSM), we study lepton flavor violating (LFV)
2025, 49(11): 114001. doi: 10.1088/1674-1137/ade956
Abstract:
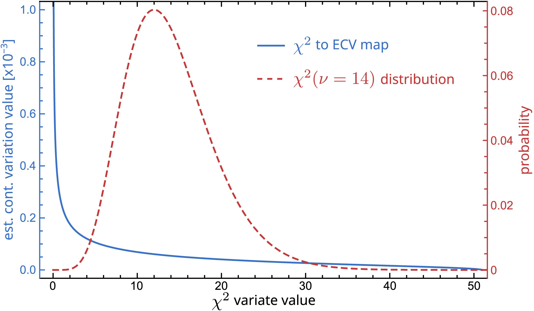
The measurement of the bound-state\begin{document}$ \beta $\end{document} ![]()
![]()
decay of 205Tl at the Experimental Storage Ring (ESR) at GSI, Darmstadt, has recently been reported, with substantial impact on the use of 205Pb as an early Solar System chronometer and on the low-energy measurement of the solar neutrino spectrum via the LOREX project. Owing to the technical challenges in producing a high-purity 205Tl81+ secondary beam, a robust statistical method was developed to estimate the variation in the contaminant 205Pb81+ produced in the fragmentation reaction, which was subsequently transmitted and stored in the ESR. Here, we show that Bayesian and Monte Carlo methods produce comparable estimates for the contaminant variation, each with unique advantages and challenges given the complex statistical problems for this experiment. We recommend the adoption of such methods in future experiments that exhibit unknown statistical fluctuations.
The measurement of the bound-state
2025, 49(11): 114002. doi: 10.1088/1674-1137/ade959
Abstract:
The lifetime of the isomeric state in fully stripped 94Ru44+ ions has been measured using isochronous mass spectrometry (IMS) at the experimental Cooler Storage Ring (CSRe) of the Heavy Ion Research Facility in Lanzhou (HIRFL). Previously, the isomeric lifetime was determined by analyzing the decay time points of individual decay events. In this paper, we present a novel approach to determine the isomeric lifetime based on the survival time of ions obtained from IMS. The survival lifetimes of the ground and isomeric states of 94Ru44+ were measured to be\begin{document}$ 270(9)\,~\mu $\end{document} ![]()
![]()
s and \begin{document}$ 121(4)\,~\mu $\end{document} ![]()
![]()
s in the laboratory, respectively. Given that the ground state of 94Ru44+ has a natural lifetime of approximately 75 min, its survival lifetime in the experimental setup was predominantly determined by the beam-loss lifetime, including interactions with residual gas in the storage ring and carbon foil of the detector. In contrast, the survival lifetime of 94mRu44+ was governed by its intrinsic nuclear lifetime and additional beam-loss effects. The nuclear decay lifetime of 94mRu44+ was extracted through differential survival lifetime analysis between ground and isomeric states, under the assumption that the beam-loss lifetimes for both quantum systems are identical. Using this novel methodology, the lifetime measured in the laboratory frame was \begin{document}$ 221(14)\,~\mu $\end{document} ![]()
![]()
s. After relativistic time-dilation corrections, the corresponding rest-frame half-life was calculated to be \begin{document}$ 118(7)\,~\mu $\end{document} ![]()
![]()
s. This result demonstrates excellent consistency with previous experimental results, validating the reliability of the new method. This method is suitable for determining half-lives of highly charged ions in the range of several tens of microseconds to milliseconds using IMS.
The lifetime of the isomeric state in fully stripped 94Ru44+ ions has been measured using isochronous mass spectrometry (IMS) at the experimental Cooler Storage Ring (CSRe) of the Heavy Ion Research Facility in Lanzhou (HIRFL). Previously, the isomeric lifetime was determined by analyzing the decay time points of individual decay events. In this paper, we present a novel approach to determine the isomeric lifetime based on the survival time of ions obtained from IMS. The survival lifetimes of the ground and isomeric states of 94Ru44+ were measured to be
2025, 49(11): 114003. doi: 10.1088/1674-1137/adf1f5
Abstract:
An overview of the storage ring facility called Rare-RI Ring (R3) at the RI Beam Factory (RIBF), RIKEN is provided herein. The primary objective is obtaining precision atomic masses to understand astrophysical nucleosynthesis. The R3 is located downstream of the fragment separator BigRIPS in the OEDO-SHARAQ branch. Randomly produced radioactive ions are individually identified using auxiliary detectors at BigRIPS. Only a single ion of interest is injected into the R3 using the dedicated fast kicker system and ejected after thousands of revolutions in an event-by-event scheme. Revolution times under the isochronous ion-optical condition provide the mass-to-charge ratios of stored ions. Several commissioning campaigns, physics programs, and technical upgrades are summarized. In addition to mass measurements of exotic nuclei, future perspectives of new experimental opportunities are addressed.
An overview of the storage ring facility called Rare-RI Ring (R3) at the RI Beam Factory (RIBF), RIKEN is provided herein. The primary objective is obtaining precision atomic masses to understand astrophysical nucleosynthesis. The R3 is located downstream of the fragment separator BigRIPS in the OEDO-SHARAQ branch. Randomly produced radioactive ions are individually identified using auxiliary detectors at BigRIPS. Only a single ion of interest is injected into the R3 using the dedicated fast kicker system and ejected after thousands of revolutions in an event-by-event scheme. Revolution times under the isochronous ion-optical condition provide the mass-to-charge ratios of stored ions. Several commissioning campaigns, physics programs, and technical upgrades are summarized. In addition to mass measurements of exotic nuclei, future perspectives of new experimental opportunities are addressed.
2025, 49(11): 114101. doi: 10.1088/1674-1137/ade1cb
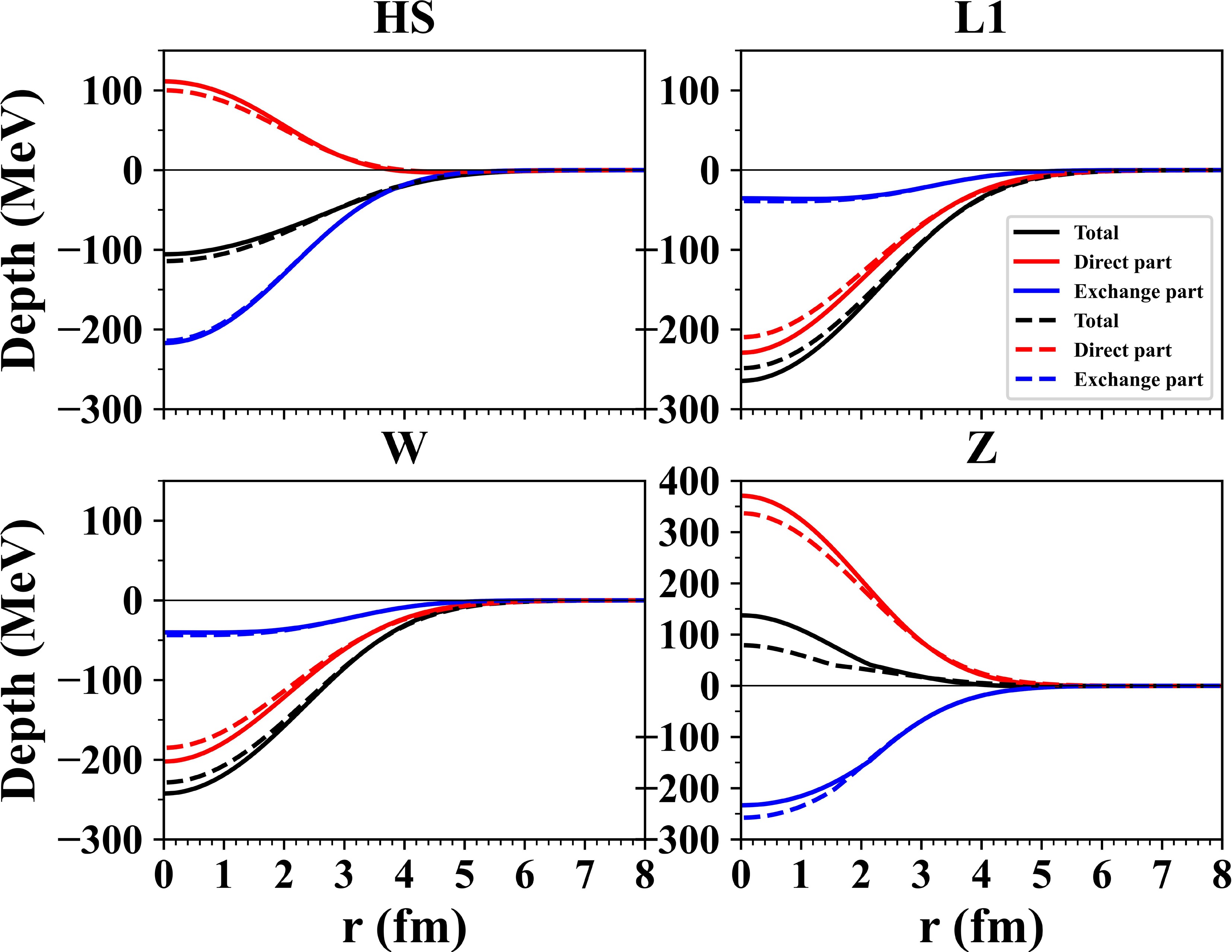
Abstract:
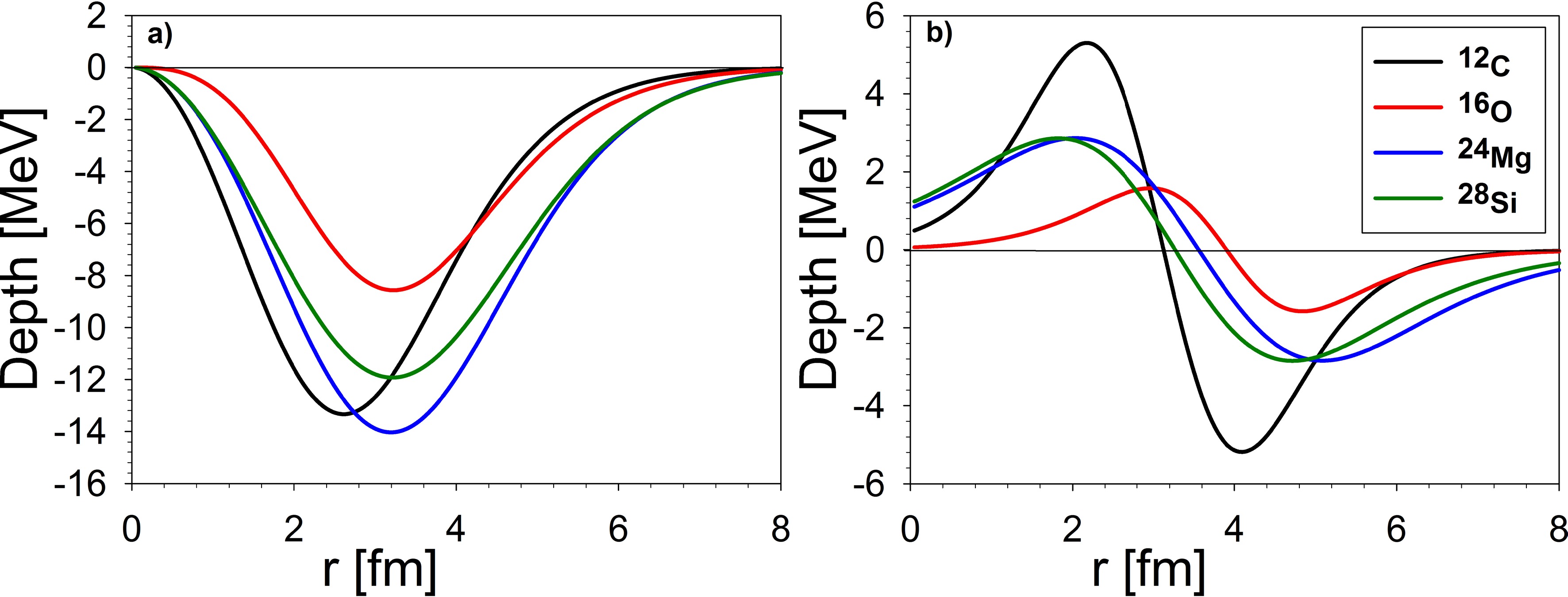
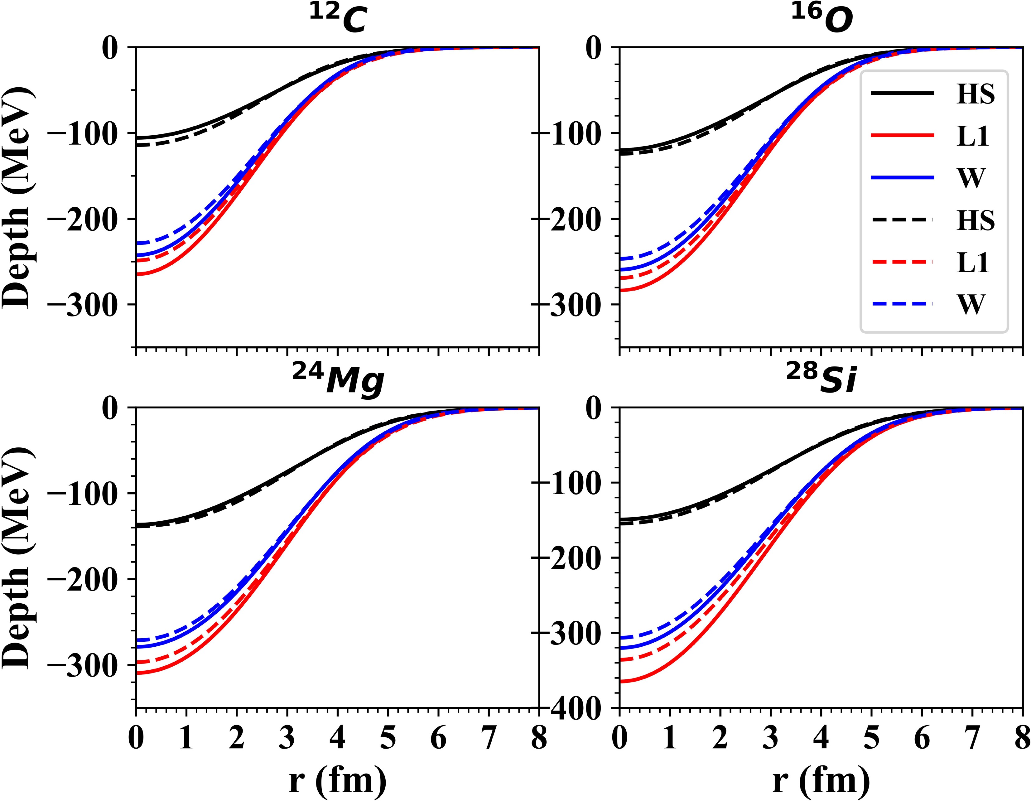
This study investigated the elastic and inelastic scattering of 3He particles from 12C, 16O, 24Mg, and 28Si nuclei at 60 MeV using a double-folding approach with four newly derived effective nucleon-nucleon (NN) interactions (R3Y(HS), R3Y(L1), R3Y(W), and R3Y(Z)) derived from the relativistic mean-field theory. The four derived effective NN interactions exhibited strong sensitivity to the choice of exchange potential. Regularizing the NN interactions improved the agreement between calculated folded potentials and experimental data. Normalization constants for the R3Y(HS) interaction suggested its superiority over the R3Y(L1) and R3Y(W) interactions within the double-folding framework. Transition potentials based on two models, deformed potential and double folding potential, were used to describe inelastic scattering. Physically consistent deformation parameters were obtained. The deformed potential model yielded better results for 12C and 16O, whereas the double folding model performed better for 24Mg and 28Si, suggesting that the advantage of the double folding model is limited to lighter targets. The Bohr-Mottelson transition density effectively described 2+ states; however, it was less suitable for the 3− state of 16O, for which a Tassie-like transition density provided improved agreement.
This study investigated the elastic and inelastic scattering of 3He particles from 12C, 16O, 24Mg, and 28Si nuclei at 60 MeV using a double-folding approach with four newly derived effective nucleon-nucleon (NN) interactions (R3Y(HS), R3Y(L1), R3Y(W), and R3Y(Z)) derived from the relativistic mean-field theory. The four derived effective NN interactions exhibited strong sensitivity to the choice of exchange potential. Regularizing the NN interactions improved the agreement between calculated folded potentials and experimental data. Normalization constants for the R3Y(HS) interaction suggested its superiority over the R3Y(L1) and R3Y(W) interactions within the double-folding framework. Transition potentials based on two models, deformed potential and double folding potential, were used to describe inelastic scattering. Physically consistent deformation parameters were obtained. The deformed potential model yielded better results for 12C and 16O, whereas the double folding model performed better for 24Mg and 28Si, suggesting that the advantage of the double folding model is limited to lighter targets. The Bohr-Mottelson transition density effectively described 2+ states; however, it was less suitable for the 3− state of 16O, for which a Tassie-like transition density provided improved agreement.
2025, 49(11): 114102. doi: 10.1088/1674-1137/ade4a8
Abstract:
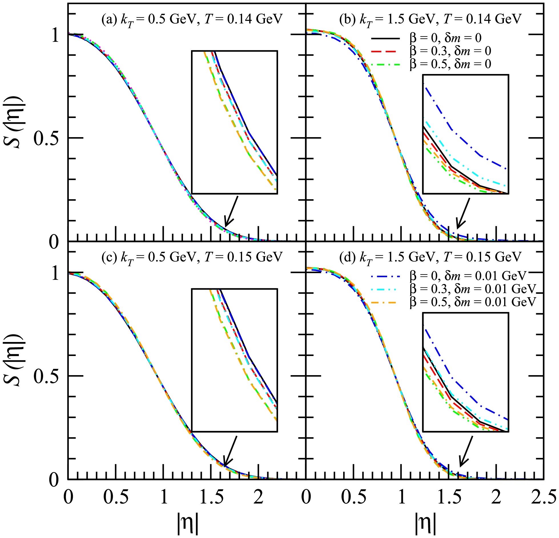
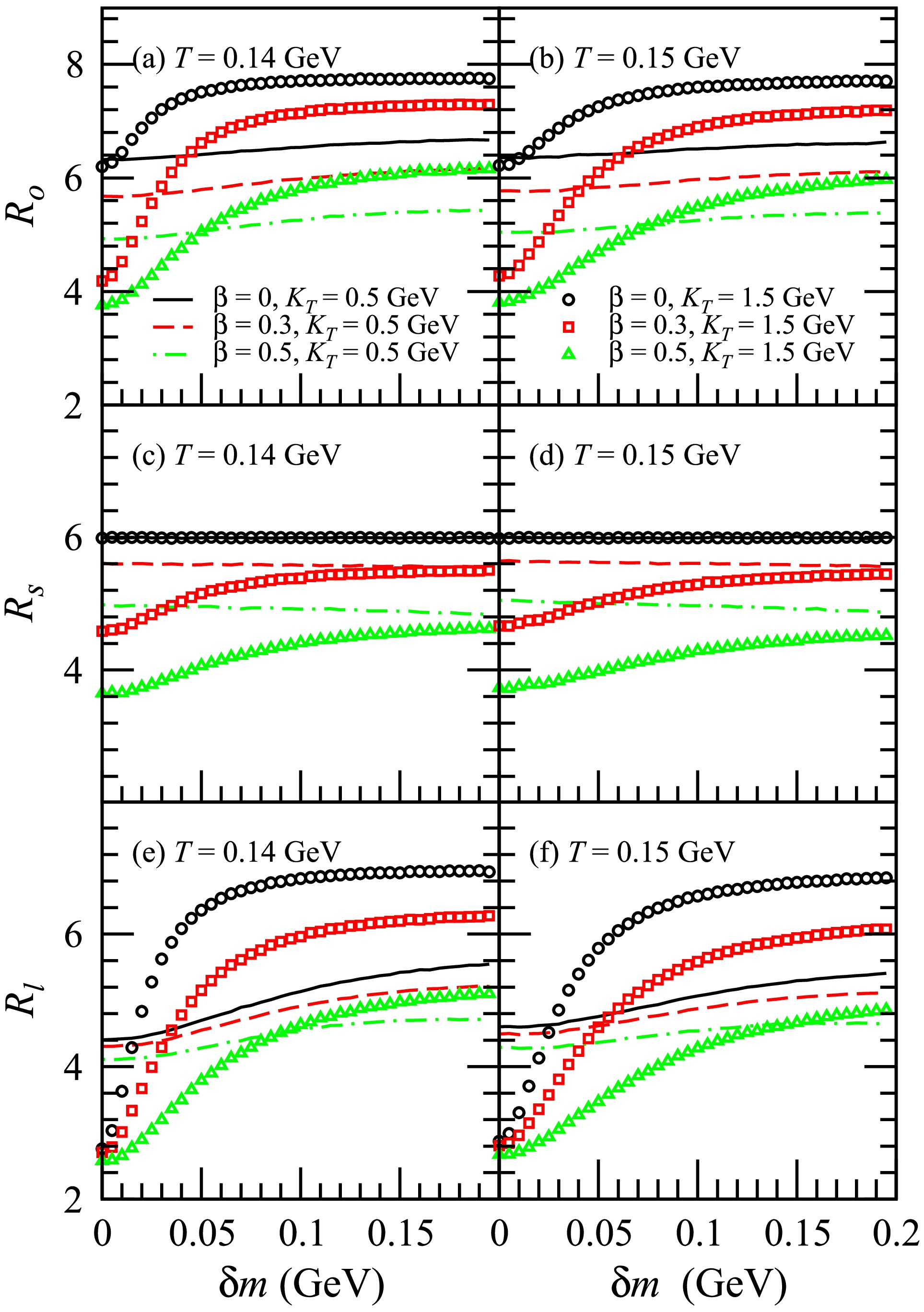
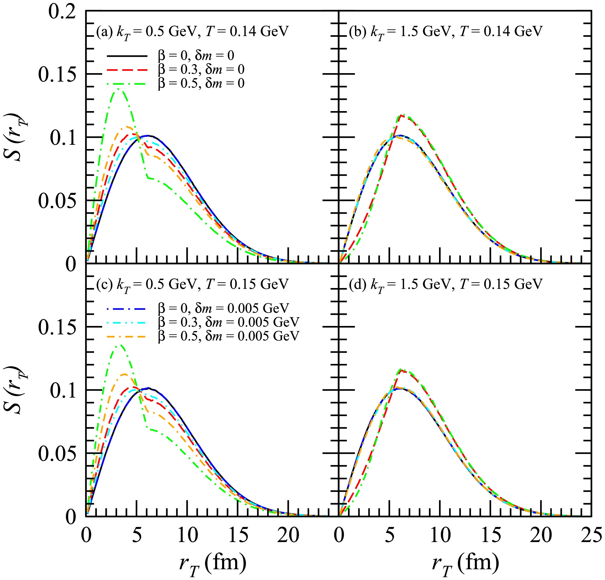
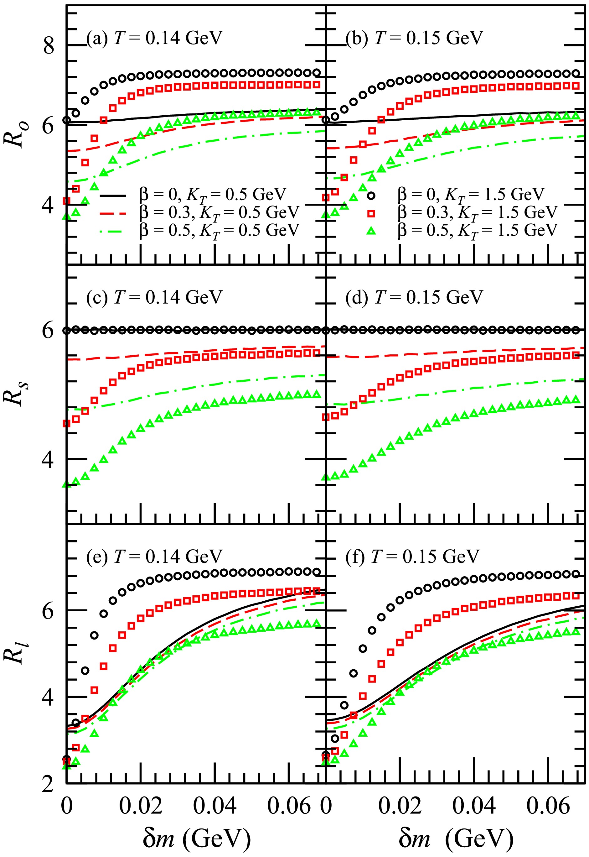
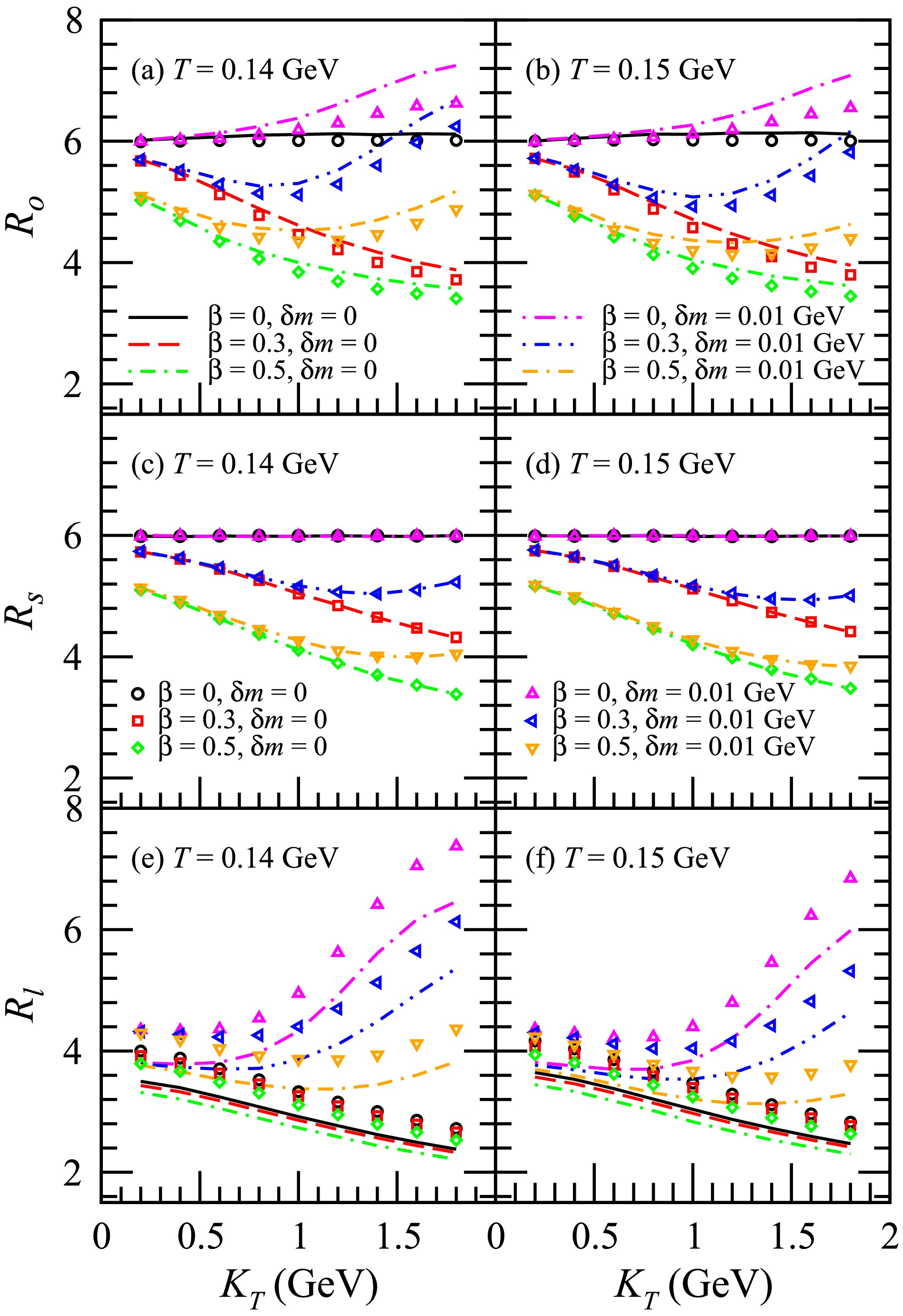
This study examines the impact of the squeezing effect caused by the in-medium mass modification of particles on the three-dimensional Hanbury Brown-Twiss (HBT) radii. An analysis is conducted on how the squeezing effect impacts the three-dimensional HBT radii of\begin{document}$ \phi\phi $\end{document} ![]()
![]()
, \begin{document}$ D^0 $\end{document} ![]()
![]()
\begin{document}$ D^0 $\end{document} ![]()
![]()
, and \begin{document}$ K^+ $\end{document} ![]()
![]()
\begin{document}$ K^+ $\end{document} ![]()
![]()
. The squeezing effect suppresses the impact of transverse flow on the transverse source distribution and broadens the space-time rapidity distribution of the particle-emitting source, leading to an increase in the HBT radii, particularly in the out and longitudinal directions. This phenomenon becomes more significant for higher transverse pair momentum, resulting in a non-monotonic decrease in the HBT radii with increasing transverse pair momentum. The impact of the squeezing effect on the HBT radii is more pronounced for \begin{document}$ D^0 $\end{document} ![]()
![]()
\begin{document}$ D^0 $\end{document} ![]()
![]()
than for \begin{document}$ \phi\phi $\end{document} ![]()
![]()
. Furthermore, this effect is also more significant for ϕϕ than for \begin{document}$ K^+ $\end{document} ![]()
![]()
\begin{document}$ K^+ $\end{document} ![]()
![]()
. The findings presented in this paper could offer fresh perspectives on investigating the squeezing effect.
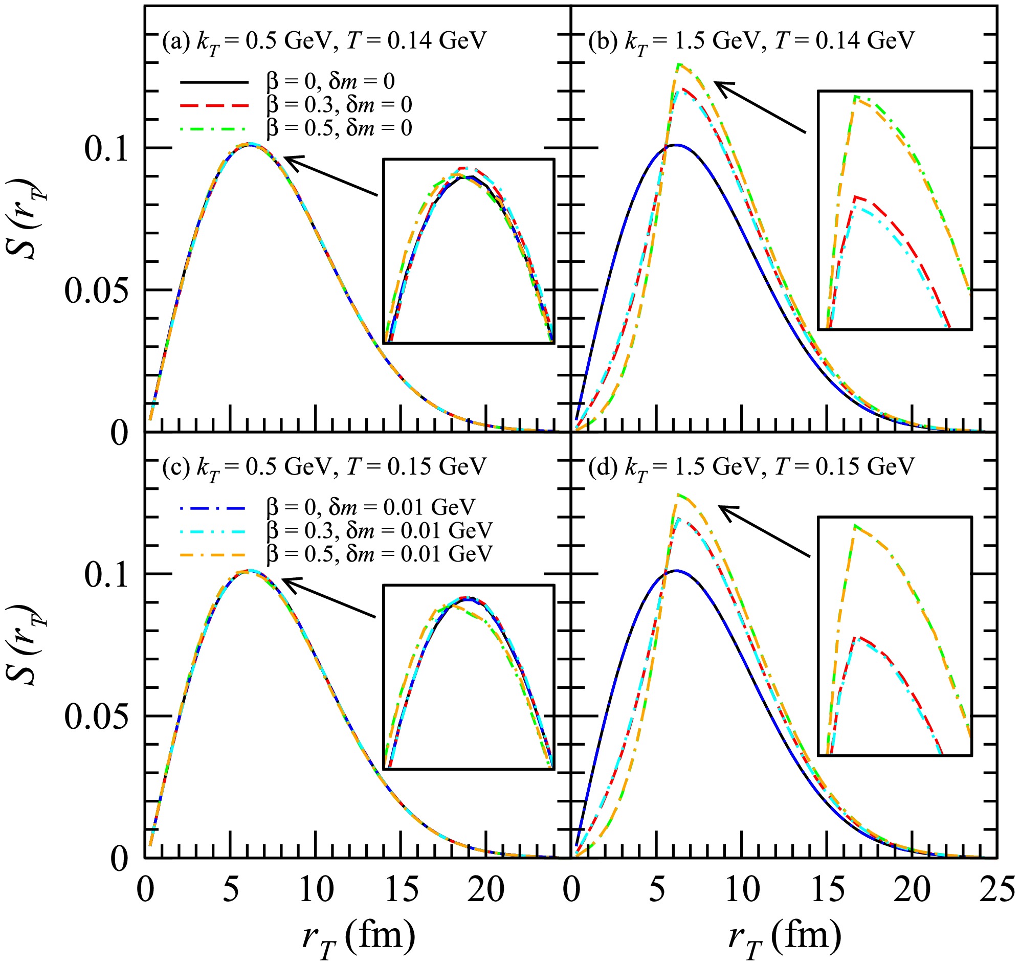
This study examines the impact of the squeezing effect caused by the in-medium mass modification of particles on the three-dimensional Hanbury Brown-Twiss (HBT) radii. An analysis is conducted on how the squeezing effect impacts the three-dimensional HBT radii of
2025, 49(11): 114103. doi: 10.1088/1674-1137/ade954
Abstract:
Shell effect plays an important role in nuclear mass predictions, especially for the nuclei around the magic numbers. In this study, a new semi-empirical shell correction term is constructed to improve the mass description of the Bethe-Weizsäcker (BW) formula. For nuclei with\begin{document}$ Z,~N \geqslant 8$\end{document} ![]()
![]()
, the root mean square (rms) deviation of the newly proposed formula with respect to the latest nuclear mass evaluation dataset AME2020 is 0.887 MeV, inducing a 72.23% reduction compared to the rms deviation of 3.194 MeV for the BW formula. The deviations between the theoretical predictions and experimental data are within 1.5 MeV for 91.90% of the nuclei. In addition, the new mass formula significantly improves the predictions of the binding energies for magic nuclei. The rms deviation of our formula for the binding energy of magic nuclei is only 1.065 MeV, which is a 80.08% reduction compared with that of the BW formula.
Shell effect plays an important role in nuclear mass predictions, especially for the nuclei around the magic numbers. In this study, a new semi-empirical shell correction term is constructed to improve the mass description of the Bethe-Weizsäcker (BW) formula. For nuclei with
2025, 49(11): 114104. doi: 10.1088/1674-1137/ade6d4
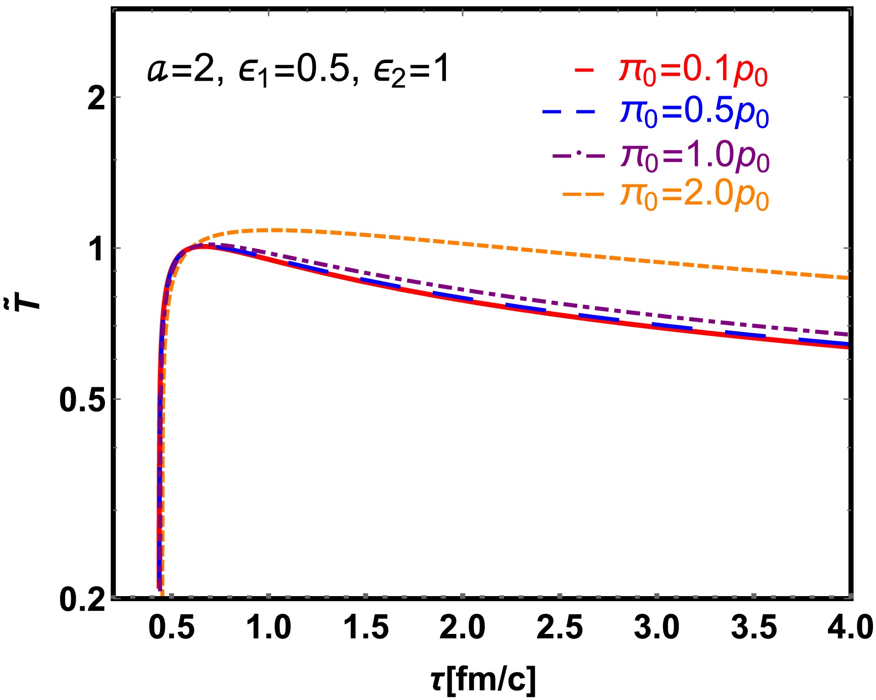
Abstract:
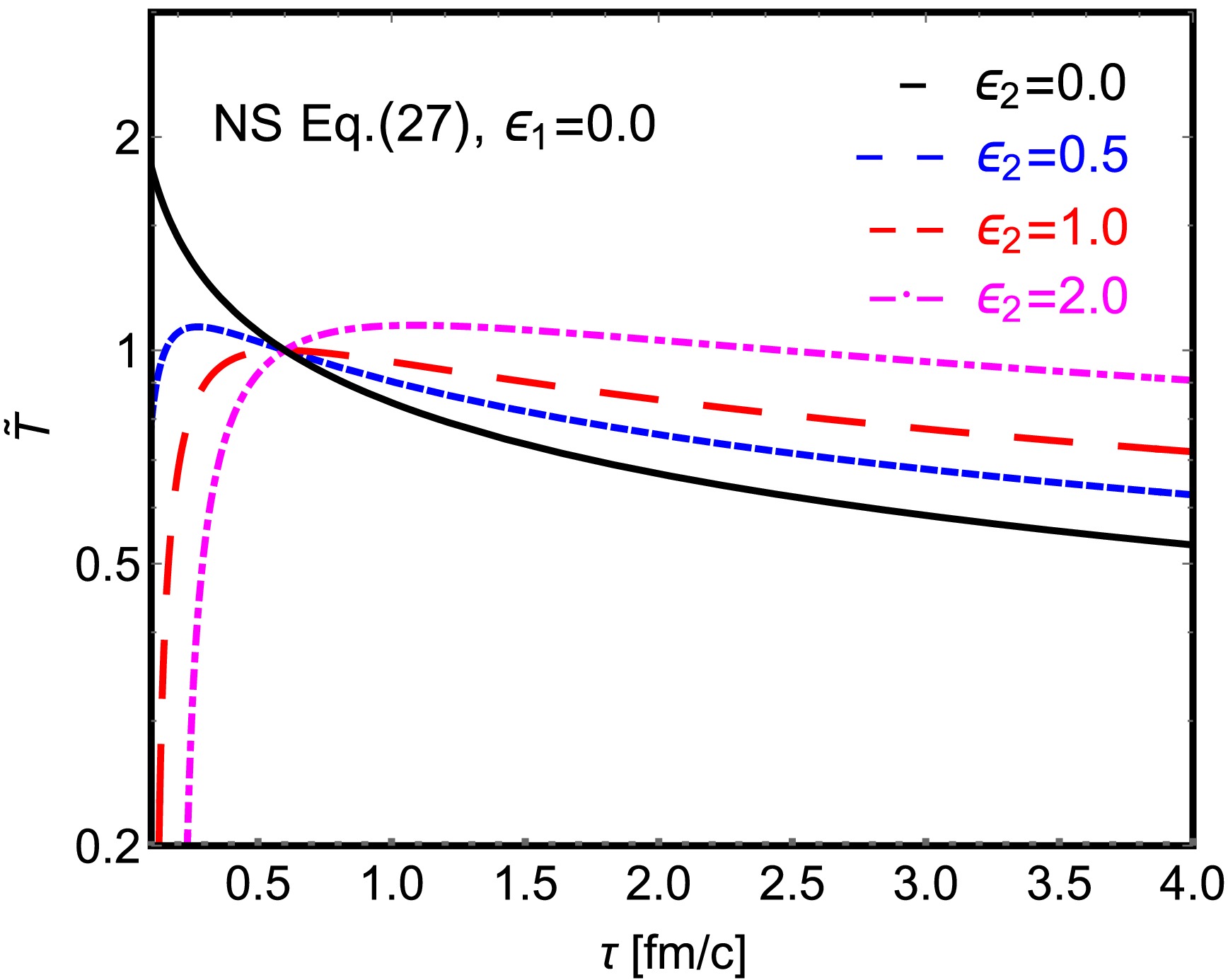
We study 1+1 dimensional relativistic non-resistive magnetohydrodynamics (MHD) with longitudinal boost invariance and a shear stress tensor. Several analytical solutions describing the fluid temperature evolution under a given equation of state (EoS)\begin{document}$ \varepsilon=3p $\end{document} ![]()
![]()
are derived. Extending the Victor-Bjorken ideal MHD flow to include non-zero shear viscosity, we first obtain two perturbative analytical solutions for the first-order (Navier-Stokes) approximation. For small, power-law evolving external magnetic fields, our stable solutions show that both magnetic field and shear viscosity cause fluid heating with an early temperature peak, consistent with numerical results. In the second-order (Israel-Stewart) theory, our numerical results show that the combined presence of magnetic field and shear viscosity leads to a slow cooling rate of fluid temperature, with initial shear stress significantly influencing temperature evolution of the medium.
We study 1+1 dimensional relativistic non-resistive magnetohydrodynamics (MHD) with longitudinal boost invariance and a shear stress tensor. Several analytical solutions describing the fluid temperature evolution under a given equation of state (EoS)
2025, 49(11): 115001. doi: 10.1088/1674-1137/adfa04
Abstract:
The cosmic-ray (CR) electrons and positrons in space are of considerable significance for studying the origin and propagation of CRs. The satellite-borne detector Dark Matter Particle Explorer (DAMPE) has been used to measure the separate electron and positron spectra, as well as the positron fraction. In this study, the Earth's magnetic field is used to distinguish CR electrons and positrons, as the DAMPE detector does not carry an onboard magnet. The energy for the measurements ranges from 10 to 20 GeV, which is currently limited at high energy by the zenith-pointing orientation of DAMPE. The results are consistent with previous measurements based on the magnetic spectrometer by AMS-02 and PAMELA, whereas the results of Fermi-LAT appear to be systematically shifted to larger values.
The cosmic-ray (CR) electrons and positrons in space are of considerable significance for studying the origin and propagation of CRs. The satellite-borne detector Dark Matter Particle Explorer (DAMPE) has been used to measure the separate electron and positron spectra, as well as the positron fraction. In this study, the Earth's magnetic field is used to distinguish CR electrons and positrons, as the DAMPE detector does not carry an onboard magnet. The energy for the measurements ranges from 10 to 20 GeV, which is currently limited at high energy by the zenith-pointing orientation of DAMPE. The results are consistent with previous measurements based on the magnetic spectrometer by AMS-02 and PAMELA, whereas the results of Fermi-LAT appear to be systematically shifted to larger values.
2025, 49(11): 115101. doi: 10.1088/1674-1137/aded01
Abstract:
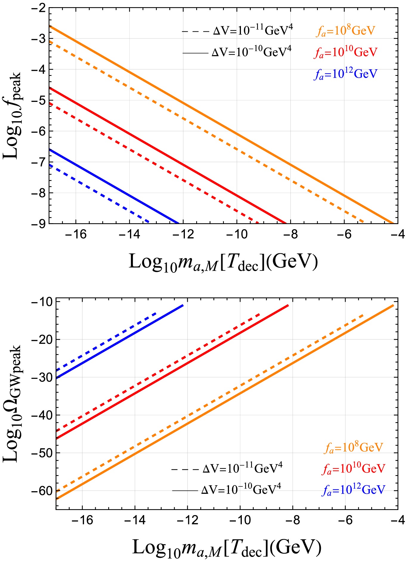
We introduce a novel level crossing phenomenon in the mass mixing between QCD axions: one canonical QCD axion and one\begin{document}$ Z_{{\cal{N}}} $\end{document} ![]()
![]()
axion. The level crossing can occur at or slightly before the QCD phase transition critical temperature, depending on the ratio of the axion decay constants, \begin{document}$ \sim 1.69 $\end{document} ![]()
![]()
. The cosmological evolution of the mass eigenvalues in these two scenarios is similar; however, the transition of axion energy density differs significantly. Finally, we estimate the relic density of the QCD axion dark matter in this context. Additionally, this level crossing may have some interesting cosmological implications.
We introduce a novel level crossing phenomenon in the mass mixing between QCD axions: one canonical QCD axion and one
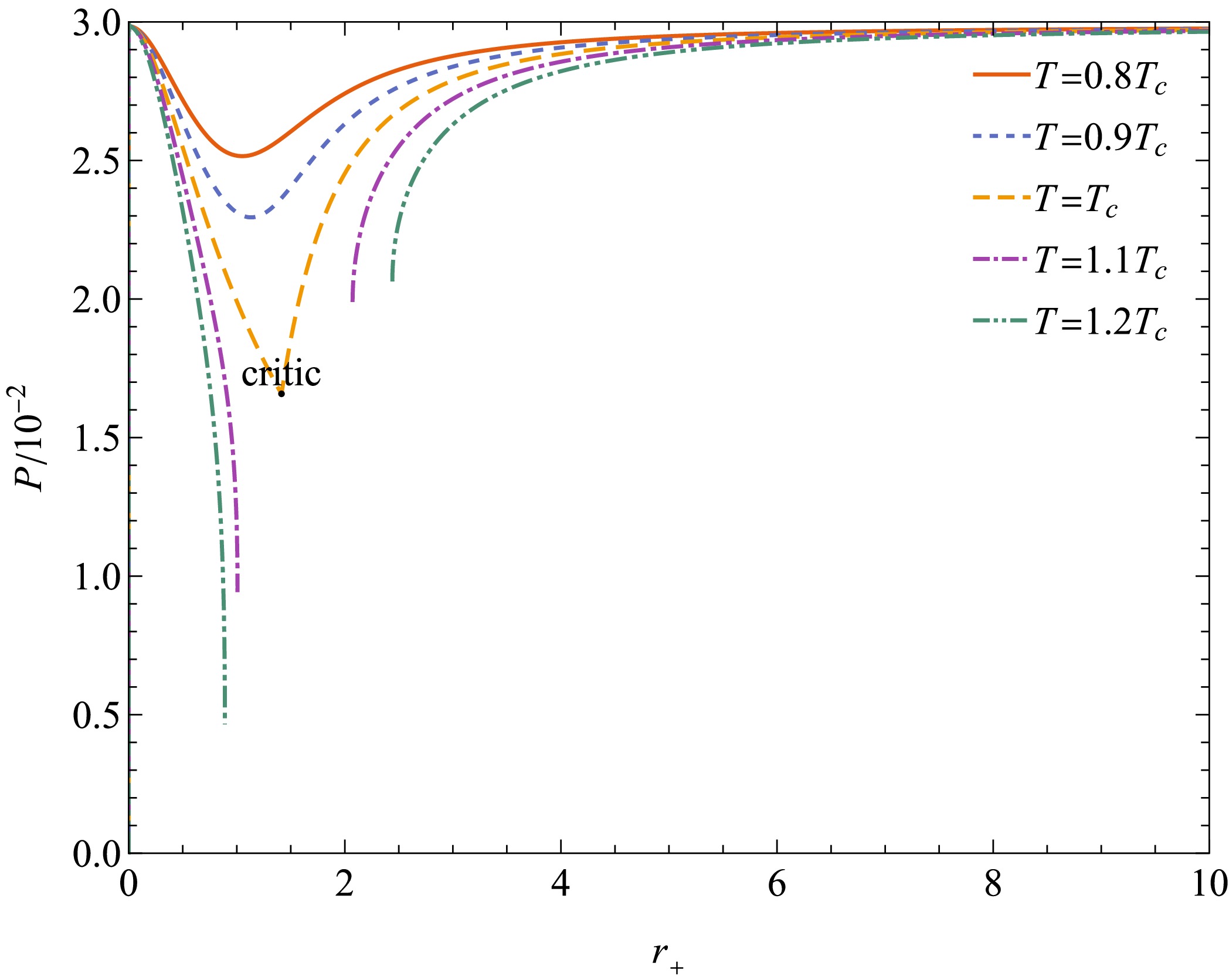
2025, 49(11): 115102. doi: 10.1088/1674-1137/ade4a9
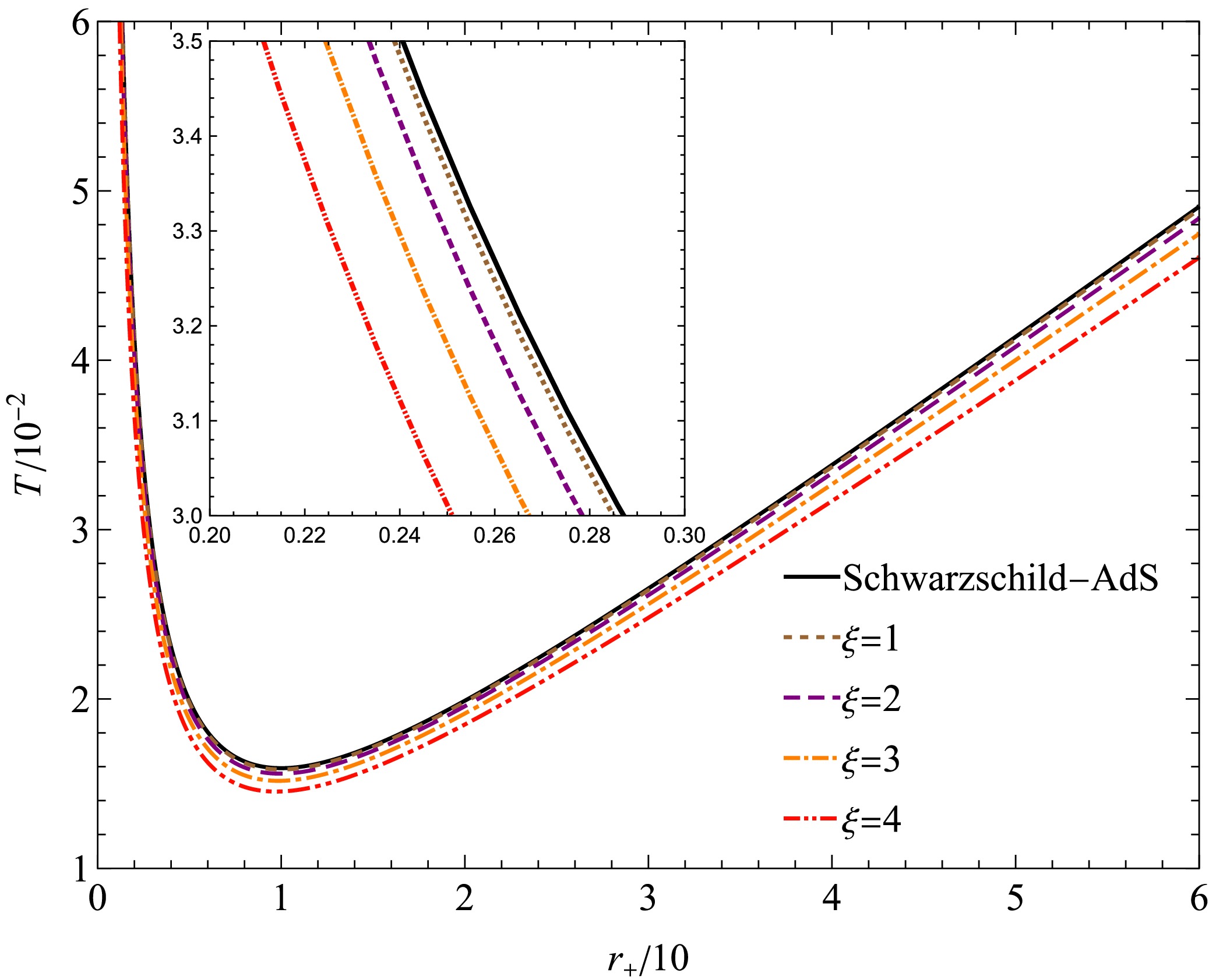
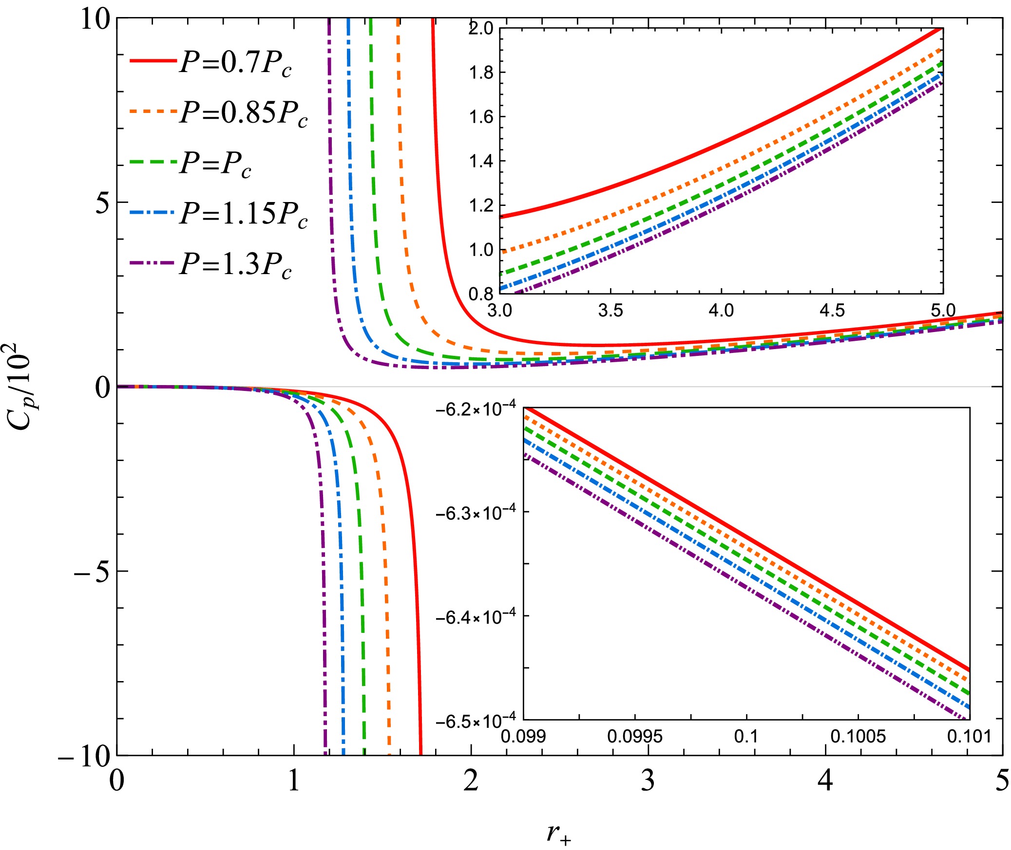
Abstract:
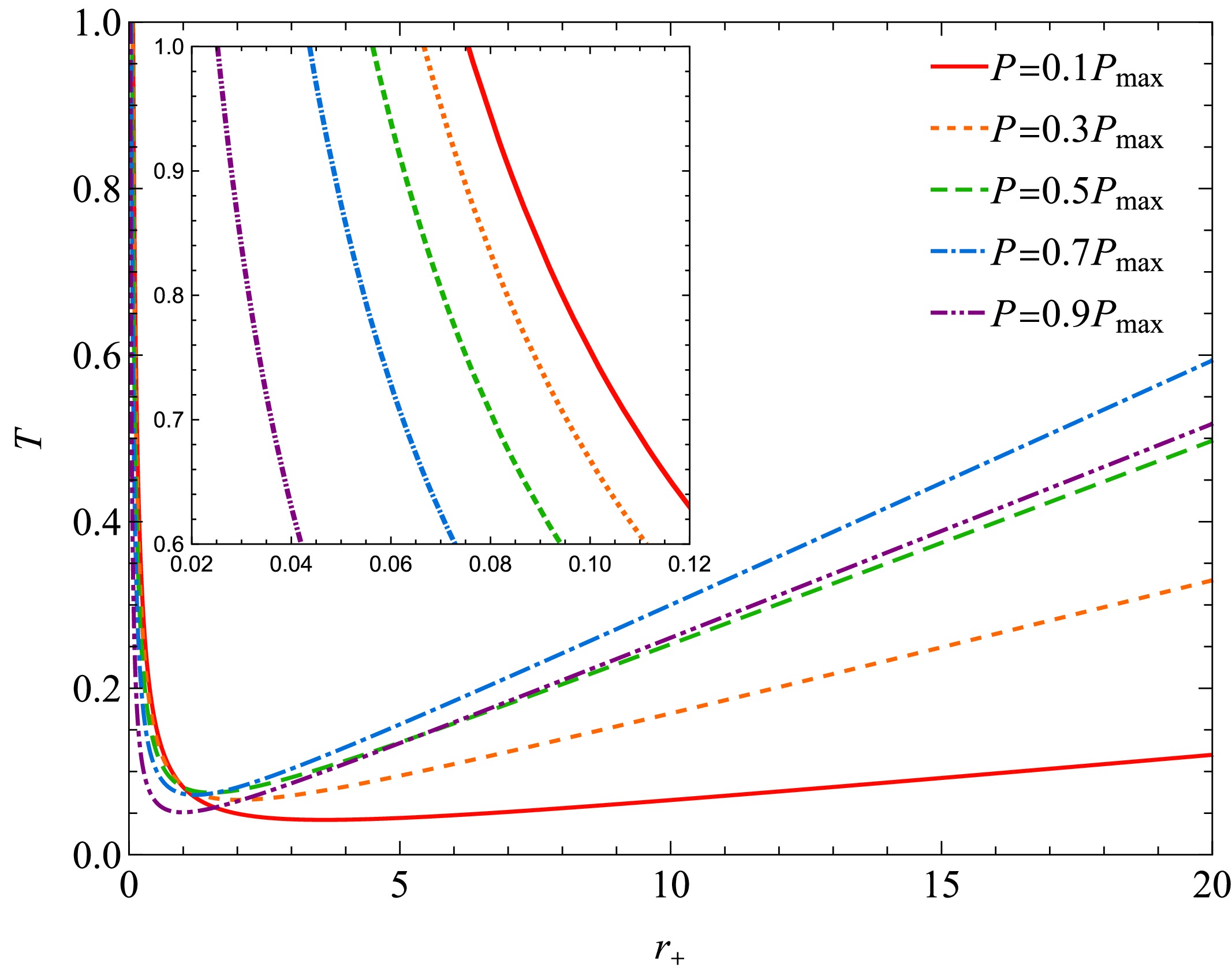
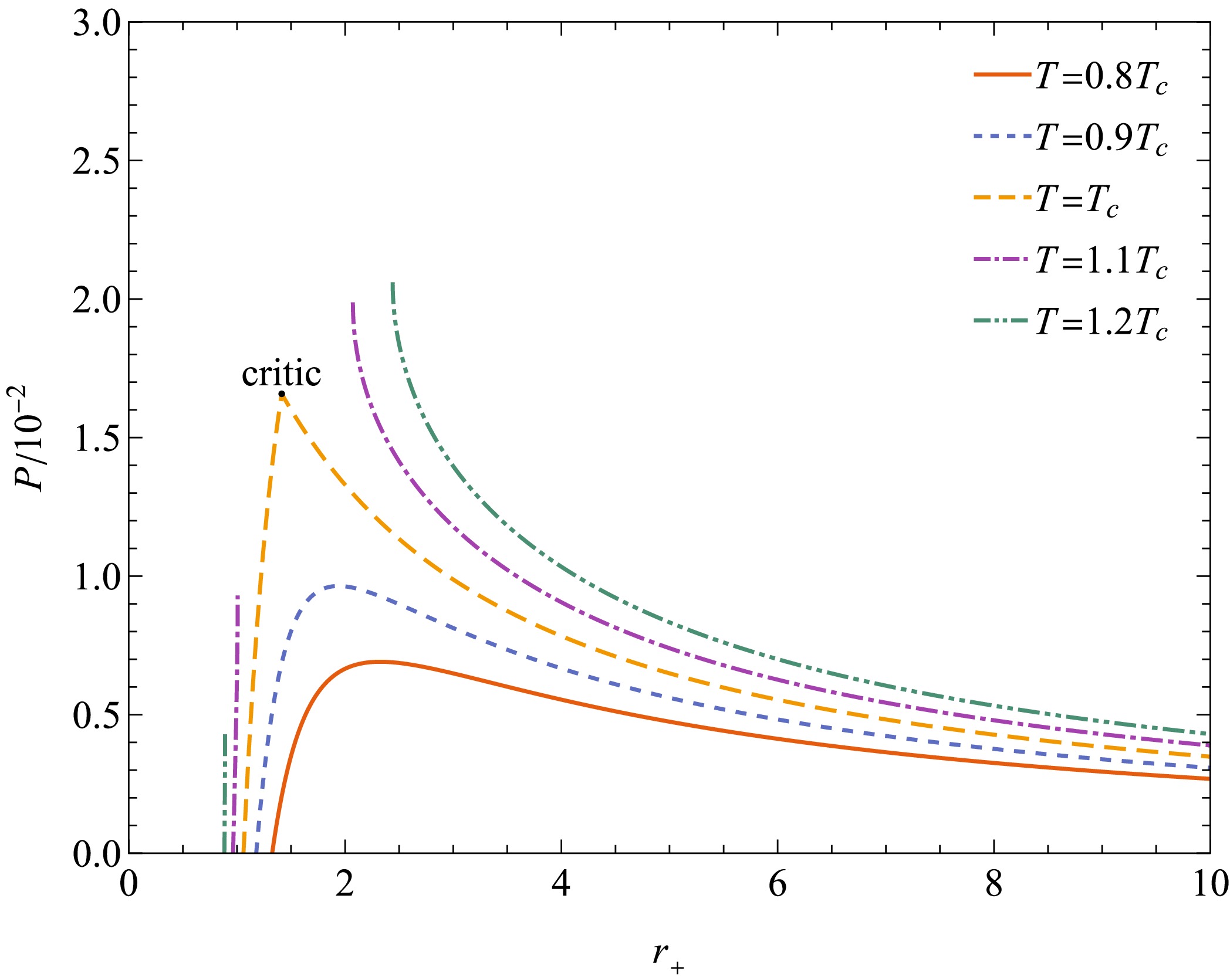
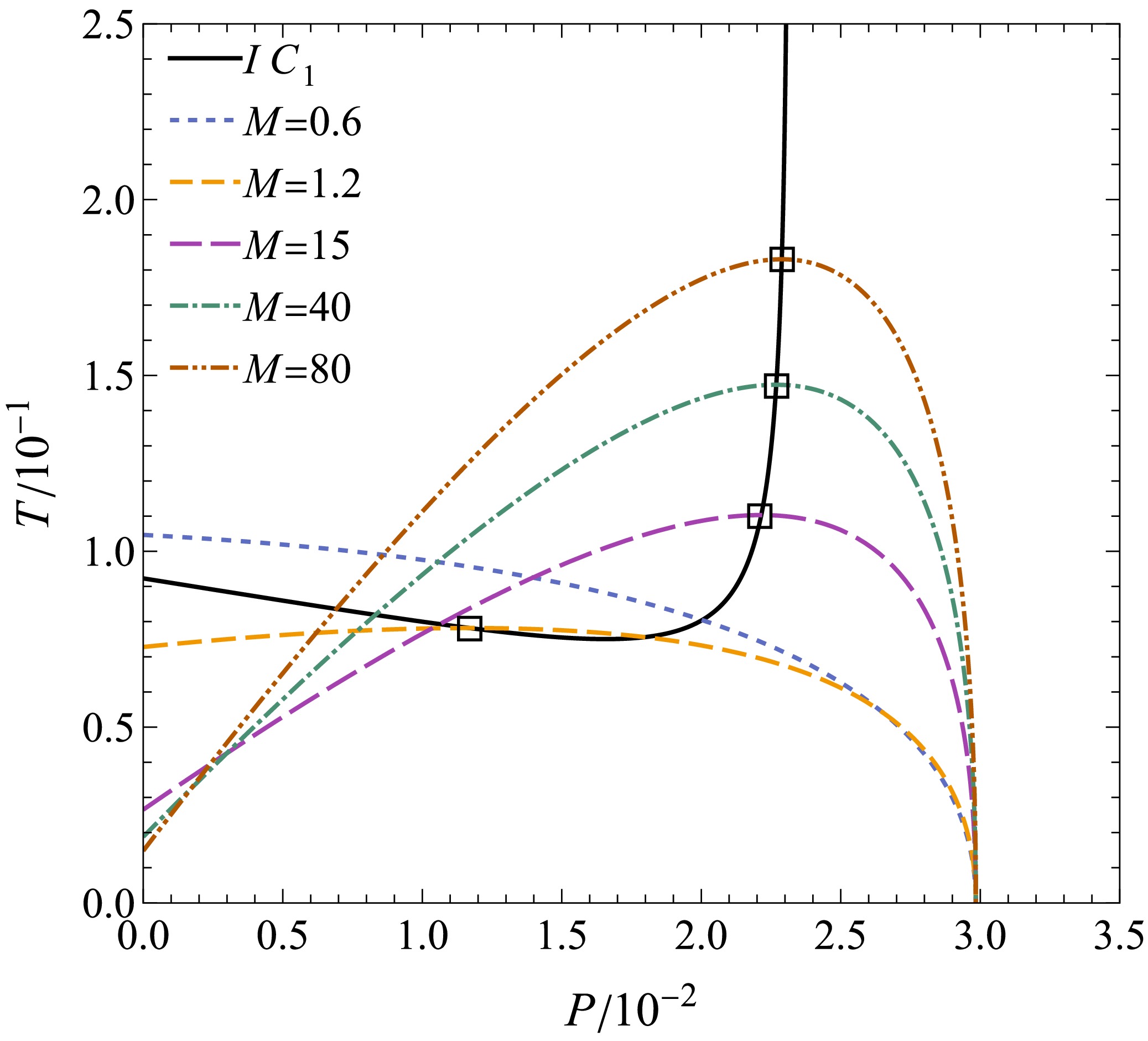
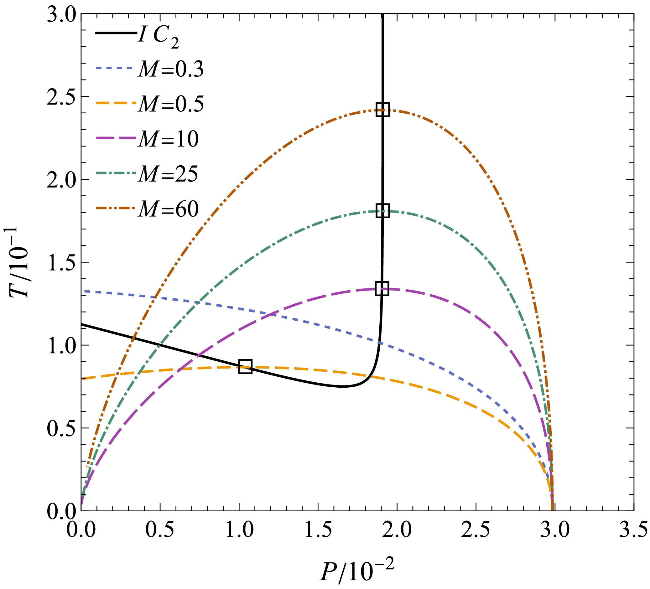
The thermodynamics in the extended phase space of a quantum corrected black hole (BH) proposed recently is presented in this paper. Our study shows that the phase transition behavior of the BH is analogous to that of a conventional Schwarzschild BH in anti-de Sitter (AdS) space; however, a critical temperature exists such that, when the BH temperature exceeds this critical value, the small and large BH phases become separated, and no phase transition occurs. Owing to the introduction of the quantum parameter ξ, the BH equation of state splits into two branches. One branch reduces to the Schwarzschild-AdS case as\begin{document}$ \xi\to0$\end{document} ![]()
![]()
, with its phase transition pressure lower than the critical pressure; the phase transition pressure in the other branch is greater than the critical pressure. This study shows that the \begin{document}$ T-r_{+}$\end{document} ![]()
![]()
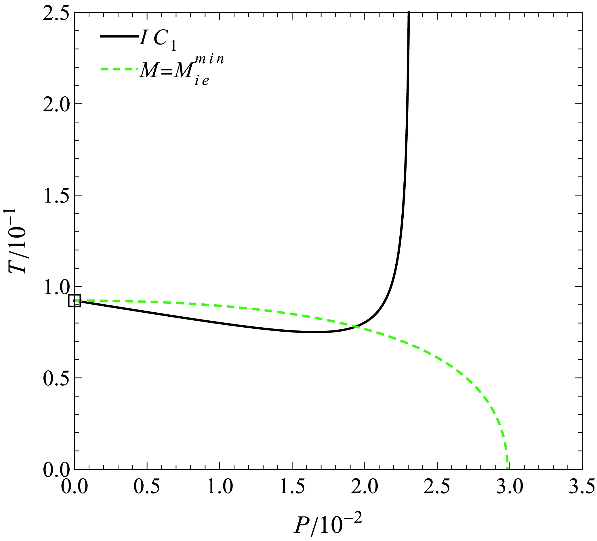
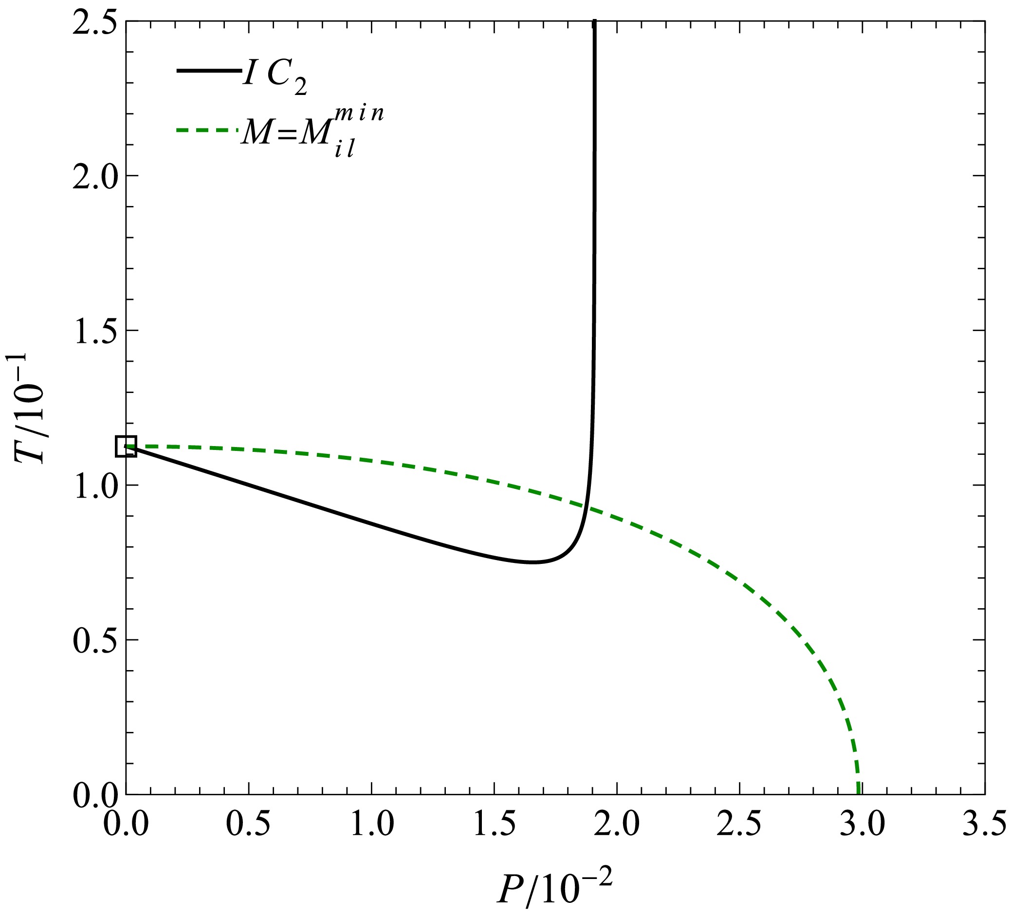
phase transition and heat capacity of the recently proposed BH are similar to those of the Schwarzschild-AdS BH. The Joule-Thomson expansion is divided into two stages: in the earlier stage, the BH pressure increases until it reaches a maximum; in the later stage, the pressure gradually decreases. In each stage, the BH may undergo an inversion point, resulting in an inversion curve with two branches. In addition, each stage has a minimum inversion mass, below which any BH (in each respective stage) has no inversion point.
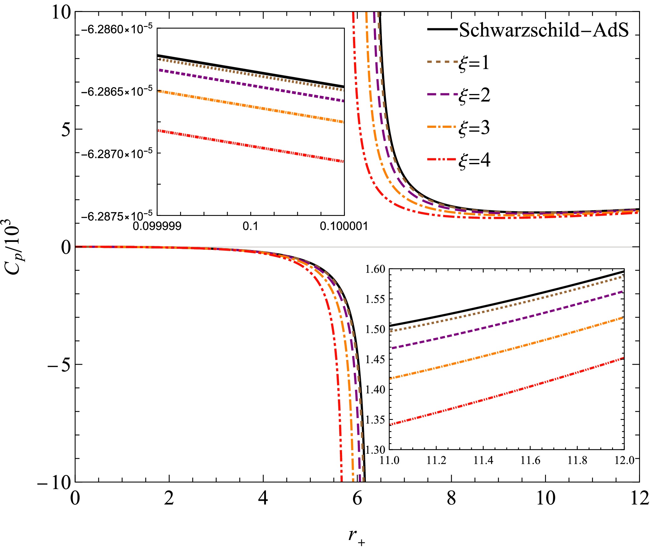
The thermodynamics in the extended phase space of a quantum corrected black hole (BH) proposed recently is presented in this paper. Our study shows that the phase transition behavior of the BH is analogous to that of a conventional Schwarzschild BH in anti-de Sitter (AdS) space; however, a critical temperature exists such that, when the BH temperature exceeds this critical value, the small and large BH phases become separated, and no phase transition occurs. Owing to the introduction of the quantum parameter ξ, the BH equation of state splits into two branches. One branch reduces to the Schwarzschild-AdS case as
2025, 49(11): 115103. doi: 10.1088/1674-1137/ade95c
Abstract:
We present a family of exact, singularity-free solutions describing the collapse of baryonic matter characterized by a barotropic equation of state whose coefficient\begin{document}$ \alpha(r,v) $\end{document} ![]()
![]()
varies in both radius and time. By matching these interior solutions to the Husain exterior metric, we obtain a self-consistent, dynamical spacetime representing a regular black hole. Although the pressure profile of our models grows with the radius and eventually violates the dominant energy condition beyond a critical surface, it necessitates an external junction for ensuring a globally well-defined spacetime, and the interior solution remains non-singular throughout the collapse. We further analyze the optical properties of these regular black holes and find that both the photon sphere radius and corresponding shadow radius increase monotonically as the local equation of state parameter α is raised. Moreover, the matching interface between the interior and exterior metrics naturally suggests a phase transition in the collapsing fluid, which can postpone the formation of an apparent horizon. Taken together, our results not only highlight novel physical features of horizon formation in regular collapse models but also identify characteristic shadow signatures that can be tested by future observations.
We present a family of exact, singularity-free solutions describing the collapse of baryonic matter characterized by a barotropic equation of state whose coefficient
2025, 49(11): 115104. doi: 10.1088/1674-1137/ade4a7
Abstract:
This paper explores the dynamical feature of Hayward-Letelier black holes in AdS spacetime, emphasizing the effects of the Hayward parameter g, mass M, cosmological constant L, and modification parameter α on their geometry, thermodynamics, and observational features. By utilizing an effective potential method, we investigate the paths of particles, innermost stable circular orbit, and behavior of photon spheres, which connects them to the appearance of black hole shadows. Thermodynamic features such as Hawking temperature and entropy are studied for investigating the effect of L and thermal fluctuations on the stability of black holes. These discoveries connect theoretical ideas with observational astrophysics, which enhances our comprehension of ordinary black holes in AdS models. In this study, we analytically compute the greybody factor for a massless scalar field propagating in the vicinity of a black hole under the assumption of weak coupling to gravity. We investigate the behavior of the effective potential concerning the black hole's mass and charge, revealing that it reaches its maximum at lower values of the cloud of strings parameter. Our results indicate that the radial absorption rate of the scalar field exhibits significant fluctuations, which is influenced by the charge of the black hole and clouds of string, with implications for the dynamics of scalar fields in strong gravitational fields.
This paper explores the dynamical feature of Hayward-Letelier black holes in AdS spacetime, emphasizing the effects of the Hayward parameter g, mass M, cosmological constant L, and modification parameter α on their geometry, thermodynamics, and observational features. By utilizing an effective potential method, we investigate the paths of particles, innermost stable circular orbit, and behavior of photon spheres, which connects them to the appearance of black hole shadows. Thermodynamic features such as Hawking temperature and entropy are studied for investigating the effect of L and thermal fluctuations on the stability of black holes. These discoveries connect theoretical ideas with observational astrophysics, which enhances our comprehension of ordinary black holes in AdS models. In this study, we analytically compute the greybody factor for a massless scalar field propagating in the vicinity of a black hole under the assumption of weak coupling to gravity. We investigate the behavior of the effective potential concerning the black hole's mass and charge, revealing that it reaches its maximum at lower values of the cloud of strings parameter. Our results indicate that the radial absorption rate of the scalar field exhibits significant fluctuations, which is influenced by the charge of the black hole and clouds of string, with implications for the dynamics of scalar fields in strong gravitational fields.
2025, 49(11): 115105. doi: 10.1088/1674-1137/ade957
Abstract:
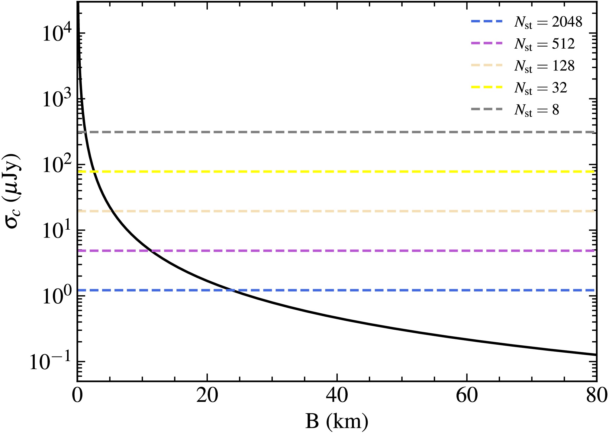
The 21-cm forest offers a powerful cosmological probe of the thermal history and small-scale structure of the intergalactic medium during the Epoch of Reionization (EoR). However, its success critically depends on the availability of high-redshift radio-loud quasars (HzRLQs) as background sources. In this work, we investigate the configuration requirements for a Moon-based low-frequency radio interferometer aimed at maximizing the detection of HzRLQs for future 21-cm forest studies. Building upon a previously developed quasar luminosity function (QLF), we forecast HzRLQ abundances under various array configurations. Assuming a total survey area of\begin{document}$ 10^4\,\mathrm{deg}^2 $\end{document} ![]()
![]()
and 1 year of observation, we compare continuum surveys with 10 MHz bandwidth and 21-cm forest surveys with 5 kHz resolution. Our results show that a minimum collecting area of ~6500 m2 enables detection at \begin{document}$ z \sim 6 $\end{document} ![]()
![]()
, while SKA-like arrays (\begin{document}$ N_{\mathrm{st}} = 512 $\end{document} ![]()
![]()
) extend the detection limit to \begin{document}$ z \sim 10 $\end{document} ![]()
![]()
for 21-cm forest surveys and \begin{document}$ z \sim 16 $\end{document} ![]()
![]()
for continuum surveys. Larger arrays with \begin{document}$ N_{\mathrm{st}} = 2048 $\end{document} ![]()
![]()
can reach \begin{document}$ z \sim 11 $\end{document} ![]()
![]()
in 21-cm forest mode. We also explore configurations that maintain fixed collecting areas while increasing the number to enhance survey efficiency. This boosts source detection but significantly increases the data volume and computational demands. These results underscore the importance of optimizing array design for different survey goals and balancing sensitivity, spectral resolution, and data management. A well-designed Moon-based array could open a new observational window to reionization and early cosmic structure formation.
The 21-cm forest offers a powerful cosmological probe of the thermal history and small-scale structure of the intergalactic medium during the Epoch of Reionization (EoR). However, its success critically depends on the availability of high-redshift radio-loud quasars (HzRLQs) as background sources. In this work, we investigate the configuration requirements for a Moon-based low-frequency radio interferometer aimed at maximizing the detection of HzRLQs for future 21-cm forest studies. Building upon a previously developed quasar luminosity function (QLF), we forecast HzRLQ abundances under various array configurations. Assuming a total survey area of
2025, 49(11): 115106. doi: 10.1088/1674-1137/ade6d6
Abstract:
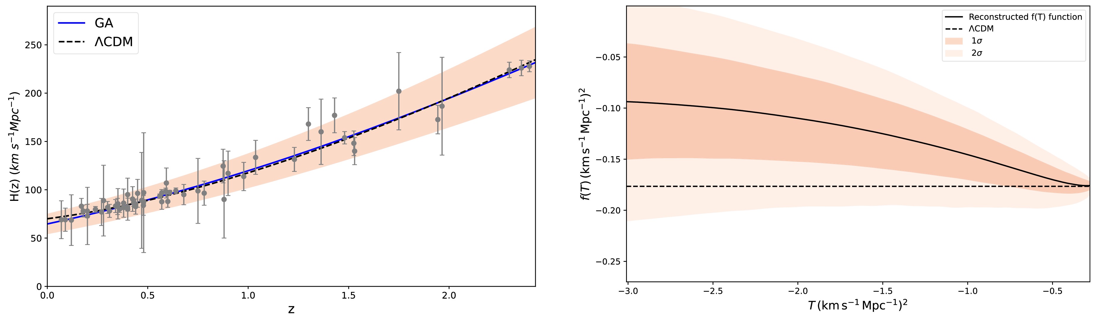
In this paper, we use genetic algorithms, a specific machine learning technique, to achieve a model-independent reconstruction of\begin{document}$f(T)$\end{document} ![]()
![]()
gravity. By using \begin{document}$H(z)$\end{document} ![]()
![]()
data derived from cosmic chronometers and the radial Baryon Acoustic Oscillation method, including the latest Dark Energy Spectroscopic Instrument (DESI) data, we reconstruct the Hubble rate, which is the basis parameter for reconstructing \begin{document}$f(T)$\end{document} ![]()
![]()
gravity without any assumptions. In this reconstruction process, we use the current value of the Hubble rate, \begin{document}$H_0$\end{document} ![]()
![]()
, derived by genetic algorithms. The reconstructed \begin{document}$f(T)$\end{document} ![]()
![]()
function is consistent with the standard ΛCDM cosmology within the 1\begin{document}$\sigma$\end{document} ![]()
![]()
confidence level across a broad temporal range. The mean \begin{document}$f(T)$\end{document} ![]()
![]()
curve, adopting a quadratic form, prompts us to parametrize it using a second-degree polynomial. This quadratic deviation from the ΛCDM scenario is mildly favored by the data.
In this paper, we use genetic algorithms, a specific machine learning technique, to achieve a model-independent reconstruction of
2025, 49(11): 115107. doi: 10.1088/1674-1137/adef1a
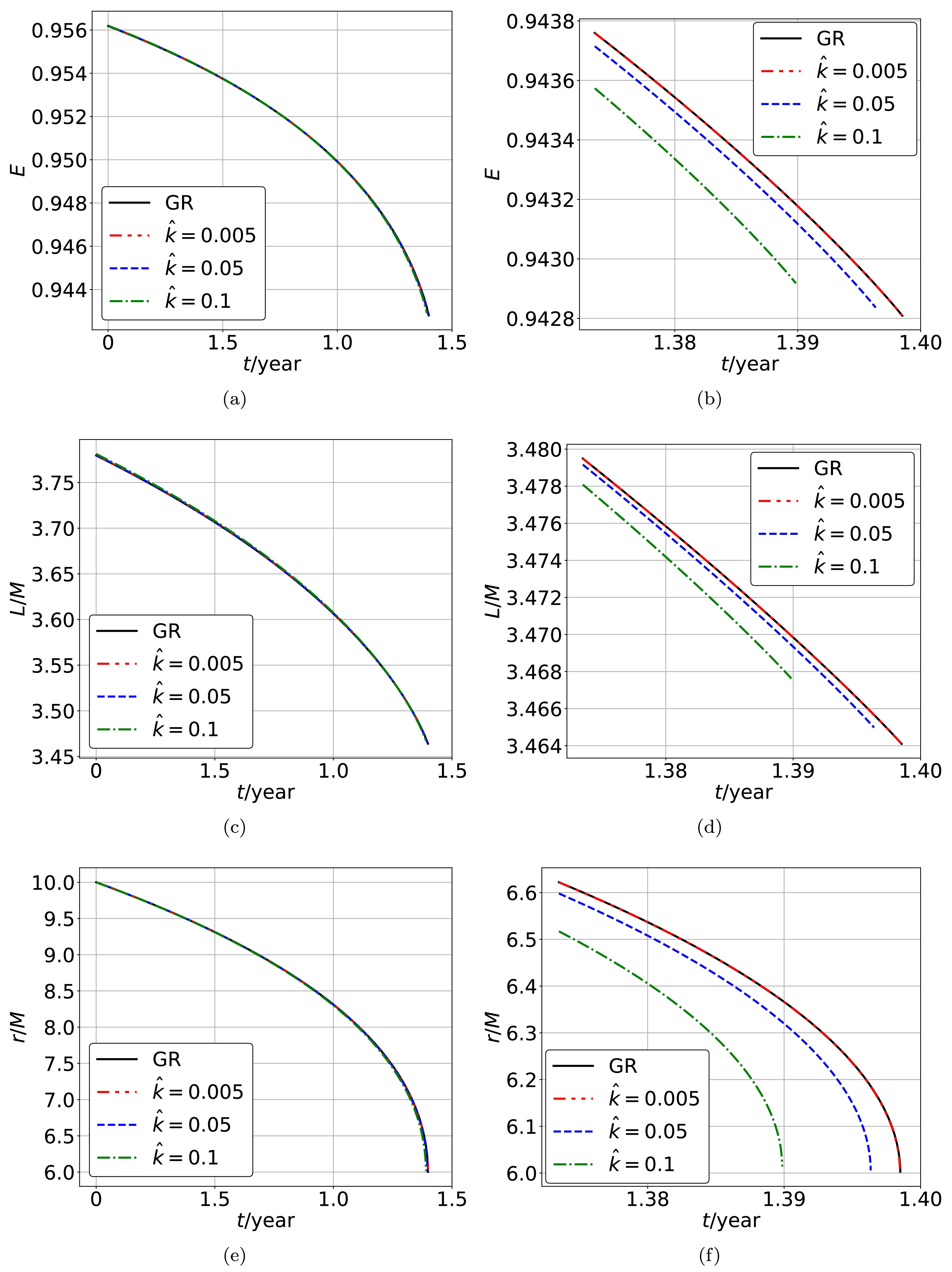
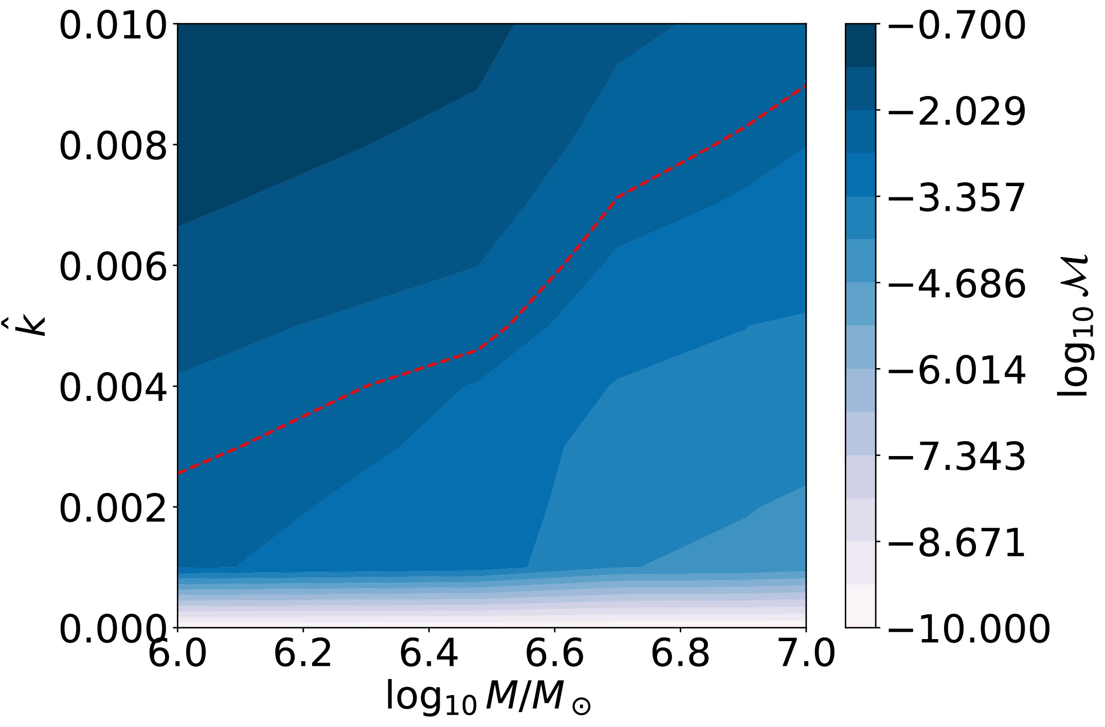
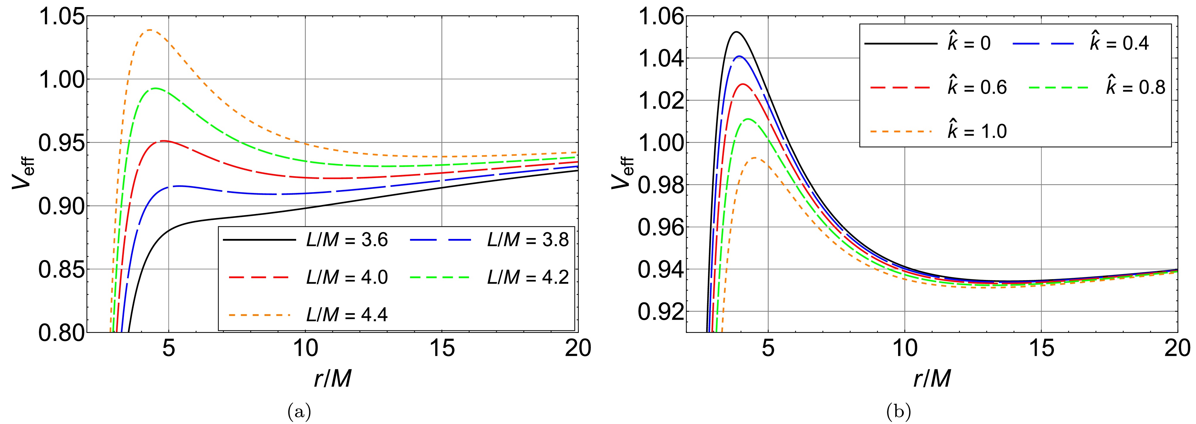
Abstract:
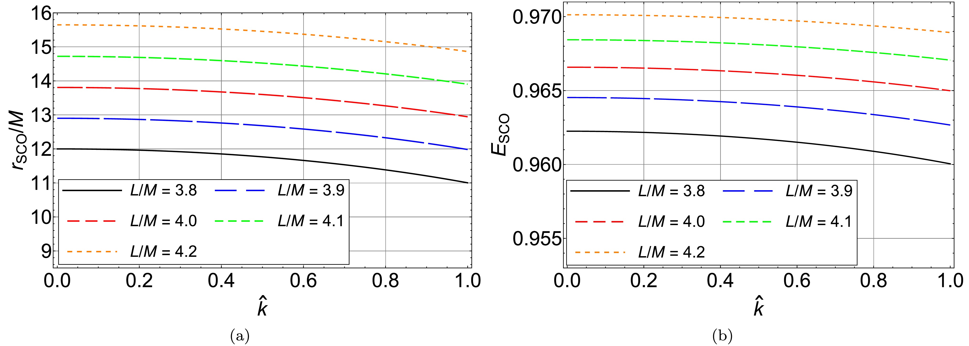
In this study, we focus on the gravitational waves emitted by a stellar-mass object in a quasi-circular inspiral orbit around a central supermassive polymerized black hole in loop quantum gravity. Treating the stellar-mass object as a massive test particle, we derive its equations of motion and the corresponding radial effective potential. We find that the peak of the radial effective potential decreases with the quantum parameter\begin{document}$ \hat{k} $\end{document} ![]()
![]()
. We also examine the impact of quantum corrections on the properties of stable circular orbits (SCOs) around the polymerized black hole. We model the smaller object's trajectory as an adiabatic evolution along SCOs using a semi-relativistic approach. In this method, the motion of the object is described by relativistic geodesics, and changes in the object's energy and orbital angular momentum due to gravitational radiation are calculated using the mass quadrupole formula. The corresponding gravitational waveforms are generated using the numerical kludge method, revealing that quantum corrections cause phase advances in the gravitational waveforms. We further analyze the potential constraints on the quantum parameter \begin{document}$ \hat{k} $\end{document} ![]()
![]()
from future space-based gravitational wave observations, concluding that the constraints on \begin{document}$ \hat{k} $\end{document} ![]()
![]()
imposed by these observations will likely be stronger than those imposed by black hole shadow measurements.
In this study, we focus on the gravitational waves emitted by a stellar-mass object in a quasi-circular inspiral orbit around a central supermassive polymerized black hole in loop quantum gravity. Treating the stellar-mass object as a massive test particle, we derive its equations of motion and the corresponding radial effective potential. We find that the peak of the radial effective potential decreases with the quantum parameter
2025, 49(11): 115108. doi: 10.1088/1674-1137/ade97e
Abstract:
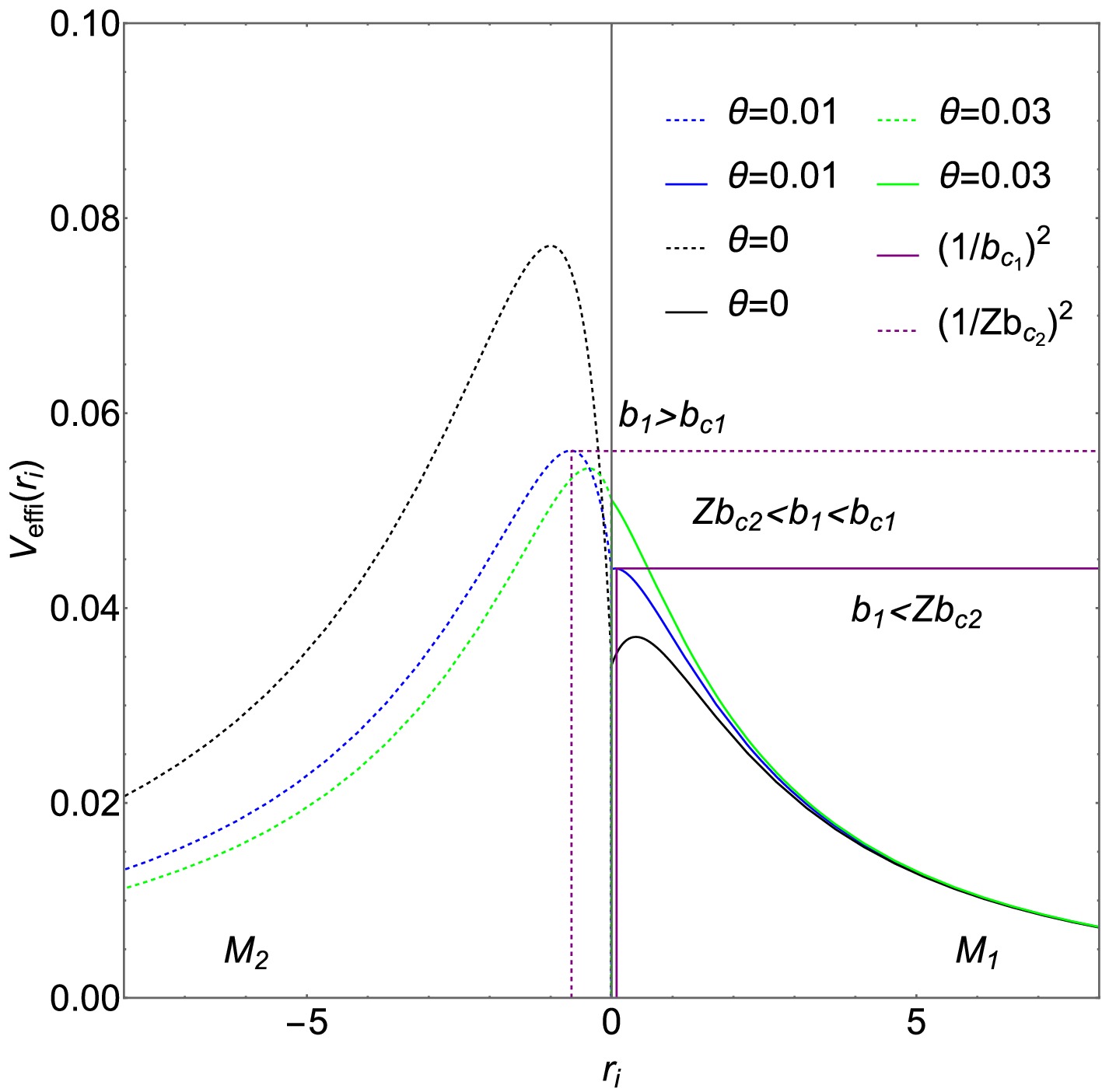
In this work, using the thin disk model, we examine the optical observations of asymmetric thin-shell wormholes (ATWs) within the theoretical framework of higher-order non-commutative geometry. By utilizing ray tracing technology, the trajectories of photons under various relevant parameters, as well as the optical observational appearance of ATW, can be accurately simulated. Compared to the black hole (BH) spacetime, observational images of ATW will exhibit extra bright ring structures. The results show that an increase in the non-commutative parameter leads to the innermost extra photon ring moving away from the shadow region, while the second extra photon ring moves closer to the shadow region. However, only one extra bright ring structure is observed in the image when the non-commutative parameter increases to θ = 0.03, implying that the observed features of ATWs seem to become increasingly visually similar to a BH with increasing θ. Furthermore, an increase in the mass ratio will result in a reduction of the radius of the innermost extra photon ring, whereas an increase in the throat radius will lead to an expansion of its radius. Notably, neither parameter has a significant impact on the size of the second extra photon ring. These findings significantly advance our theoretical understanding of the optical features of ATWs with higher-order non-commutative corrections.
In this work, using the thin disk model, we examine the optical observations of asymmetric thin-shell wormholes (ATWs) within the theoretical framework of higher-order non-commutative geometry. By utilizing ray tracing technology, the trajectories of photons under various relevant parameters, as well as the optical observational appearance of ATW, can be accurately simulated. Compared to the black hole (BH) spacetime, observational images of ATW will exhibit extra bright ring structures. The results show that an increase in the non-commutative parameter leads to the innermost extra photon ring moving away from the shadow region, while the second extra photon ring moves closer to the shadow region. However, only one extra bright ring structure is observed in the image when the non-commutative parameter increases to θ = 0.03, implying that the observed features of ATWs seem to become increasingly visually similar to a BH with increasing θ. Furthermore, an increase in the mass ratio will result in a reduction of the radius of the innermost extra photon ring, whereas an increase in the throat radius will lead to an expansion of its radius. Notably, neither parameter has a significant impact on the size of the second extra photon ring. These findings significantly advance our theoretical understanding of the optical features of ATWs with higher-order non-commutative corrections.
2025, 49(11): 115109. doi: 10.1088/1674-1137/adf316
Abstract:
This study investigates the utility of Fast Radio Bursts (FRBs) as novel observational probes to constrain models of interacting dark energy (IDE). By leveraging FRBs' dispersion measures (DMs) and redshifts, we perform a comprehensive analysis of three IDE models—\begin{document}$ \gamma_{\mathrm{m}} $\end{document} ![]()
![]()
IDE, \begin{document}$ \gamma_{\mathrm{x}} $\end{document} ![]()
![]()
IDE, and ξIDE—using Markov Chain Monte Carlo (MCMC) methods based on 86 localized FRBs and simulated datasets containing 2,500 to 10,000 mock events. By disentangling the contributions to the observed DMs from the Milky Way, host galaxies, and intergalactic medium (IGM), key cosmological parameters are constrained, including the Hubble constant (\begin{document}$ H_{0} $\end{document} ![]()
![]()
), matter density (\begin{document}$ \Omega_{\mathrm{m}} $\end{document} ![]()
![]()
), dark energy equation of state (\begin{document}$ \omega_{\mathrm{x}} $\end{document} ![]()
![]()
), and interaction strengths (\begin{document}$ \gamma_{\mathrm{m}} $\end{document} ![]()
![]()
, \begin{document}$ \gamma_{\mathrm{x}} $\end{document} ![]()
![]()
, ξ). The best-fit values of the \begin{document}$ \gamma_{\mathrm{m}} $\end{document} ![]()
![]()
IDE models indicate a potential alleviation of the cosmic coincidence problem. Subsequently, we utilize information criteria (IC) to conduct a comparative assessment of the three IDE models. When applied to the current sample of observed FRBs, the ξIDE model yields slightly lower IC values than the \begin{document}$ \gamma_{\mathrm{m}} $\end{document} ![]()
![]()
IDE and \begin{document}$ \gamma_{\mathrm{x}} $\end{document} ![]()
![]()
IDE models across all three information criteria, although the differences are not statistically significant. Notably, our study emphasizes the significance of current FRB observations in exploring potential interactions within the dark sector. These results underscore the value of FRB measurements as valuable complementary probes that provide further constraints on alternative cosmological models.
This study investigates the utility of Fast Radio Bursts (FRBs) as novel observational probes to constrain models of interacting dark energy (IDE). By leveraging FRBs' dispersion measures (DMs) and redshifts, we perform a comprehensive analysis of three IDE models—
2025, 49(11): 115110. doi: 10.1088/1674-1137/adfc36
Abstract:
We present an investigation on cosmological implications resulting from spontaneous dark\begin{document}$ S U(2)_d $\end{document} ![]()
![]()
symmetry breaking in conjunction with the Witten effect. Furthermore, we examine the mass of hidden monopoles generated by phase transition as well as the impact of axion-monopole interactions on the axion mass. Following spontaneous breaking of the PQ symmetry, axions emitted by cosmic strings or domain walls as well as hidden monopoles generated during this transition may collectively contribute to the observed dark matter relic density. Additionally, the stochastic gravitational wave background generated by sub-GeV phase transitions and by the decay of axionic domain walls formed during sub-ZeV phase transitions could account for the low-frequency gravitational wave signals detected by PTA experiments.
We present an investigation on cosmological implications resulting from spontaneous dark
ISSN 1674-1137 CN 11-5641/O4
Original research articles, Ietters and reviews Covering theory and experiments in the fieids of
- Particle physics
- Nuclear physics
- Particle and nuclear astrophysics
- Cosmology
Author benefits
- A SCOAP3 participating journal - free Open Access publication for qualifying articles
- Average 24 days to first decision
- Fast-track publication for selected articles
- Subscriptions at over 3000 institutions worldwide
- Free English editing on all accepted articles
News
- CPC Announces 2025 Outstanding Reviewers
- Chinese Physics C Outstanding Reviewer Award 2023
- Impact factor of Chinese Physics C is 3.6 in 2022
- 2022 CPC Outstanding Reviewer Awards
- The 2023 Chinese New Year-Office closure
Cover Story
- Cover Story (Issue 1, 2026) A focused review of quintom cosmology: from quintom dark energy to quintom bounce
- Cover Story (Issue 11, 2025) The Earth-Magnet Assists DAMPE in Studying Cosmic Anti-Electrons
- Cover Story (Issue 9, 2025): Precise measurement of Ïc0 resonance parameters and branching fractions of Ïc0,c2âÏï¼Ïï¼/ K+K-
- Cover Story (Issue 8, 2025) A Novel Perspective on Spacetime Perturbations: Bridging Riemannian and Teleparallel Frameworks
- Cover Story (Issue 7, 2025) Evidence of the negative parity linear chain states in 16C












