-
The calculation of multi-loop integrals is essential when theoretically predicting the scatting amplitude of a given process. For these calculations, the PV-reduction method [4] is a widely used approach, and one way to implement the reduction method is to use the integrating-by-parts (IBP) relation [5–7]. As one of the most powerful techniques for loop integral reduction, IBP gives a large number of recurrence relations, and the reduction can be represented by a combination of simpler integrals via Gauss elimination. However, as the propagator number and power increase, the IBP method becomes inefficient; hence, more efficient reduction methods must be found.
The unitarity cut method is an alternative reduction method and has been proven to be useful for one-loop integrals [8–17]. In a physical one-loop process, the power of the propagator is just one; however, if the method is complete, it should be able to reduce integrals with higher power propagators. Such a situation is not simply a theoretical curiosity but appears in higher loop diagrams as a sub-diagram. Furthermore, although the scalar basis is natural for one-loop integrals, in general, the choice of basis can be different, depending on the physical input. For example, in the topology of a one-loop bubble, the basis, in which one propagator has a power of two, could be used as part of the UT-basis [18, 19].
In a previous study [3], we successfully obtained an analytical reduction result for one-loop integrals with high power propagators by combining the tricks of differential operators and unitarity cut. We gave coefficients to all bases except the tadpoles'; however, the unitarity method could not be used because the tadpole has only one propagator. To complete this investigation, the missing tadpole coefficients must be found using other efficient methods.
Other than the unitarity cut method, there are proposals to overcome the difficulties of IBP using tricks and other representations of integrals, such as the Baikov representation [20, 21] and Feynman parametrization representation [22, 23] for loop integrals. In recent years, Chen proposed a new representation for loop integrals [1, 2]. His method is based on the generalized Feynman parametrization representation, that is, an extra parameter
$ x_{n+1} $ is introduced to combine$ {\cal U}, {\cal F} $ in the standard Feynman parametrization representation. Such a generalization will offer several benefits when deriving the IBP recurrence relation, as shown in this paper.As a common feature, the IBP recurrence relation derived using the generalized Feynman parametrization representation will naturally have terms in different spacetime dimensions. Because we are always concerned with reducing a particular dimension D, which is typically set to
$ 4-2\epsilon $ for renormalization, we wish to cancel these terms in different dimensions. In general, this is not easy. In [24], Gluza, Kajda, and Kosower showed how to avoid the change in the power of propagators in standard momentum space. Larsen and Zhang considered the Baikov representation and demonstrated how to eliminate both dimensional shifting and the change in the power of propagators [25–30]. These methods require a solution to the syzygy equations, which is generally not easy. In Chen's second paper [2], he proposed a new technique to simplify the recurrence relation based on non-commutative algebra.Motivated by the above discussion and preparing Chen's method for high-loop computations, in this paper, we use Chen's method to find the missing tadpole coefficients from our previous study. Furthermore, we use the idea of removing terms with dimensional shifting in the derived IBP relation to construct a simpler reduction method, with the analytic results expressed by the elements of the coefficient matrix
$ \hat A $ .This paper is organized as follows: In section II, we review and illustrate Chen's new method with a simple example in section II.A. In the example, integrals naturally emerge in different dimensions. We discuss the physical meaning of the boundary terms, which contribute to the sub-topologies. To cancel dimensional shifting in the parametrization form and simplify the IBP relation, a new trick is proposed in section II.B in which free auxiliary parameters are added based on the fact that F in the integrand is a homogeneous function of
$ x_{i} $ with degree$ L+1 $ . Using this trick, we successfully cancel dimensional shifting and drop the terms that we are not concerned with. Moreover, we present a simplified IBP relation in which all the integrals are in the particular dimension D and integrals other than the target have a lower total propagator power. The analytic result is presented as a determinant of the cofactor of the matrix$ \hat A $ , which is entirely determined by a graph. In section III, we calculate a triangle$ I_3(1,1,2) $ , box$ I_4(1,1,1,2) $ , and pentagon$ I_5(1,1,1,1,2) $ in parametric form using this trick and present the analytic results of all coefficients to the master basis, especially the tadpole parts, to complement our previous study. -
In this section, we introduce a new reduction method proposed by Chen in [1]. The general form of a loop integral is given by
$ \begin{eqnarray} I[N(l)](k)= \int {\rm d}^{D}l_1{\rm d}^{D}l_2\cdots {\rm d}^{D}l_{L}\frac{N(l)}{D_1^{k_1}D_{2}^{k_2}D_3^{k_3}\cdots D_{n}^{k_n}},\; \; \; \end{eqnarray} $

(1) where, for simplicity, we denote
$ l = (l_1,l_2,l_3,\cdots ,l_L) $ and$ k = (k_1,k_2,k_3,\cdots ,k_n) $ . Because we consider only scalar integrals with$ N(l) = 1 $ in this paper, let us label$ \begin{eqnarray} I(L;\lambda_1+1,\cdots ,\lambda_n+1) = \int {\rm d}^Dl_1\cdots {\rm d}^Dl_L\frac{1}{D_1^{\lambda_1+1}\cdots D_{n}^{\lambda_n+1}}.\; \; \; \end{eqnarray} $

(2) Using the Feynman parametrization procedure,
$ \begin{eqnarray} \sum_{i}^{L}{\alpha}_iD_i = \sum_{i,j}^{L}A_{ij}l_i\cdot l_j+2\sum_{i = 1}^{L}B_i\cdot l_i+C,\; \; \; \end{eqnarray} $

(3) and thus loop integrals can be found as
$ \begin{aligned}[b] \int {\rm d}^Dl_1\cdots {\rm d}^Dl_L {\rm e}^{{\rm i}(\sum{\alpha}_iD_i)} = &{\rm e}^{i\pi L(1-\frac{D}{2})/2}\pi^{LD/2}({\rm Det}\; A)^{-{D}/{2}}\; \\&\times {\rm e}^{{\rm i}(C-\sum A_{ij}^{-1}B_i\cdot B_j)}. \end{aligned} $

(4) Defining
$ U({\alpha}) = {\rm Det}\; A $ and$ C-\sum A_{ij}^{-1}B_i\cdot B_j\equiv {V({\alpha})}/{U({\alpha})}- \sum m_i^2{\alpha}_i $ ①, we can see that$ U({\alpha}) $ is a homogeneous function of$ {\alpha}_i $ with degree L, whereas$ V({\alpha}) $ is a homogeneous function of$ {\alpha}_i $ with degree$ L+1 $ . The loop integral becomes$ \begin{aligned}[b] &I(L;\lambda_1+1,\cdots ,\lambda_n+1)\\ = &\dfrac{{\rm e}^{-\sum ({(\lambda_i+1)}/{2}){\rm i}\pi}}{\Pi_{i = 1}^n\Gamma(\lambda_i+1)}{\rm e}^{{\rm i}\pi L(1-{D}/{2})/2}\pi^{LD/2} \\ &\times\int {\rm d}{\alpha}_1\cdots {\rm d}{\alpha}_n U({\alpha})^{-{D}/{2}}{\rm e}^{{\rm i}[V({\alpha})/U({\alpha})-\sum m_i^2{\alpha}_i]}{\alpha}_1^{\lambda_1}\cdots {\alpha}_n^{\lambda_n}.\; \; \; \end{aligned} $

(5) To derive the parametric form suggested by Chen, we perform the following: Using the
$ {\alpha} $ -representation of general propagators,$ \frac{1}{(l^2-m^2)^{\lambda+1}} = \frac{{\rm e}^{-{((\lambda+1)}/{2}){\rm i}\pi}}{\Gamma(\lambda+1)}\int _0^{\infty} {\rm d}{\alpha} {\rm e}^{{\rm i}{\alpha}(l^2-m^2)}{\alpha}^{\lambda},\; \; {\rm Im}\{l^2-m^2\}>0,\; \; \; $

(6) where "
$ i\epsilon $ " is neglected, we obtain$ \begin{aligned}[b] I(L;\lambda_1+1,\cdots ,\lambda_n+1) = &\frac{{\rm e}^{-\sum_i^n {((\lambda_i+1)}/{2}){\rm i}\pi}}{\Pi_{i = 1}^{n}\Gamma(\lambda_i+1)}\int {\rm d}^Dl_1\cdots {\rm d}^Dl_L\\&\times\int _0^{\infty} {\rm d}{\alpha}_1\cdots {\rm d}{\alpha}_n {\rm e}^{{\rm i}\sum_{i = 1}^{n}{\alpha}_iD_i}{\alpha}_1^{\lambda_1}\cdots {\alpha}_n^{\lambda_n}.\; \; \; \end{aligned} $

(7) To go further, we change the integral variables to
$ {\alpha}_i = \eta x_i $ . Because there is a total of n independent variables, we must insert another constraint condition. In general, we could let$ \begin{eqnarray} \sum_{i\in S(1,2,3,\cdots n)} x_i = 1,\; \; \; \end{eqnarray} $

(8) where S is an arbitrary non-trivial subset of
$ \{1,2,3,\cdots n\} $ . After carrying out the integration over η, the second line of Eq. (5) becomes$ \begin{aligned}[b] &(-i)^{(n+\lambda-{DL}/{2})}\Gamma\left(n+ \lambda-\frac{DL}{2}\right)\times\int {\rm d}x_1\cdots {\rm d}x_n\delta \left(\sum_{j\in S}x_j-1\right) \frac{U(x)^{n+\lambda-({D}/{2})(L+1)}}{[-V(x)+U(x)\sum m_i^2x_i]^{n+\lambda-{DL}/{2}}}x_1^{\lambda_1}\cdots x_n^{\lambda_n} \\ = &(-i)^{n+ \lambda-{DL}/{2}}\Gamma\left(n+\lambda-\frac{DL}{2}\right)\int {\rm d}x_1\cdots {\rm d}x_n\delta (\sum_{j\in S} x_j-1)U^{\lambda_u}f^{\lambda_f}x_1^{\lambda_1}\cdots x_n^{\lambda_n},\; \; \; \end{aligned} $ 
(9) where
$ \begin{aligned}[b] U(x) = & \eta^{-L} U({\alpha}) = \eta^{-L} U(\eta x_i),\; \; \; \; V(x) = \eta^{-L-1} V({\alpha}) = \eta^{-L-1} V(\eta x),\; \; \; \; f(x) = -V(x)+U(x)\sum m_i^2x_i \\ \lambda = &\sum_{i = 1}^{n} \lambda_i,\; \; \; \; \lambda_u = n+\lambda-\frac{D}{2}(L+1),\; \; \; \; \lambda_f = -n-\lambda+\frac{DL}{2}.\; \; \; \end{aligned} $

(10) Finally, via Mellin transformation②
$ \begin{eqnarray} A^{\lambda_1}B^{\lambda_2}& = \frac{\Gamma(-\lambda_1-\lambda_2)}{\Gamma(-\lambda_1)\Gamma(-\lambda_2)}\int _0^{\infty} {\rm d}x (A+Bx)^{\lambda_1+\lambda_2}x^{-\lambda_2-1},\; \; \; \end{eqnarray} $

(11) we can express (9) as
$ \begin{aligned}[b] &(-i)^{n+\lambda-{DL}/{2}}\Gamma\left(n+\lambda-\frac{DL}{2}\right)\frac{\Gamma(-\lambda_u-\lambda_f)}{\Gamma(-\lambda_u)\Gamma(-\lambda_f)}\int {\rm d}x_1 \cdots {\rm d}x_n \delta\left(\sum_{j\in S}x_j-1\right)\int _0^\infty {\rm d}x_{n+1} \times (Ux_{n+1}+f)^{\lambda_u+\lambda_f}x_{n+1}^{-\lambda_u-1}x_1^{\lambda_1} \cdots x_n^{\lambda_n} \\ \equiv& (-i)^{n+\lambda-{DL}/{2}}\frac{\Gamma(n+\lambda-{DL}/{2})\Gamma(-\lambda_u-\lambda_f)}{\Gamma(-\lambda_u)\Gamma(-\lambda_f)}\int {\rm d}\Pi^{(n+1)}F^{\lambda_0}x_1^{\lambda_1}\cdots x_n^{\lambda_n} x_{n+1}^{\lambda_{n+1}} \\ \equiv & (-i)^{n+\lambda-{DL}/{2}}\frac{\Gamma(n+\lambda-\frac{DL}{2})\Gamma(-\lambda_u-\lambda_f)}{\Gamma(-\lambda_u)\Gamma(-\lambda_f)} i_{\lambda_0;\lambda_1,\cdots \lambda_n},\; \; \; \end{aligned} $

(12) where
$ \begin{aligned}[b] {\rm d}\Pi^{(n+1)} = &{\rm d}x_1\cdots {\rm d}x_{n+1}\delta (\sum_{j\in S} x_j-1),\\ F =& Ux_{n+1}+f,\; \; \; \; \; \lambda = \sum_{i = 1}^n \lambda_i, \\ \lambda_0 = &\lambda_u+\lambda_f = -\frac{D}{2},\\ \lambda_{n+1} =& -\lambda_u-1 = \frac{D}{2}(L+1)-\lambda-1-n.\; \; \; \end{aligned} $

(13) Combined, we finally obtain the parametric form of the scalar loop integrals in (5),
$ \begin{eqnarray} I(L;\lambda_1 + 1,\cdots ,\lambda_n +1 ) = (-1)^{n+\lambda}i^{L} \pi^{{LD}/{2}}\frac{\Gamma(-\lambda_0)}{\Pi_{i = 1}^{n+1}\Gamma(\lambda_i + 1)} i_{\lambda_0;\lambda_1,\cdots \lambda_n}.\; \; \; \end{eqnarray} $

(14) -
The parametric form of (14) is the starting point of Chen's proposal. The IBP relations in this form are given by③④
$ \begin{aligned}[b]& \int {\rm d}\Pi^{(n+1)}\frac{{{\partial}} }{{{\partial}} x_i}\Big\{F^{\lambda_0}x_1^{\lambda_1}\cdots x_n^{\lambda_n}x_{n+1}^{\lambda_{n+1}+1}\Big\}\\& +\delta_{\lambda_i,0}\int {\rm d}\Pi^{(n)} \Big\{F^{\lambda_0}x_1^{\lambda_1}\cdots x_n^{\lambda_n}x_{n+1}^{\lambda_{n+1}+1}\Big\}\Big|_{x_i = 0} = 0\; \; \end{aligned} $

(15) where
$ i = 1,...,n+1 $ , and$ {\rm d}\Pi^{(n)} $ in the second term is$ \begin{eqnarray} {\rm d}\Pi^{(n)}& = &{\rm d}x_1\cdots \hat{{\rm d}x_i}\cdots {\rm d}x_n{\rm d}x_{n+1}\delta\left(\sum_{j\in S}x_j-1\right).\; \; \; \end{eqnarray} $

(16) The second term in (15) contributes to a boundary term, which leads to the sub-topologies of the former term.
To illustrate the IBP relation (15), we present the reduction in
$ I_2(1,2) $ as an example. The general form of one-loop bubble integrals is given by$ I_2(m+1,n+1) = \int \frac{{\rm d}^{D}l}{(l^2-m_1^2)^{m+1}((l-p_1)^2-m_2^2)^{n+1}},\; \; \; $

(17) and the corresponding parametric form is (in this paper, we ignore the former factor
$ \pi^{{LD}/{2}} $ )$ \begin{aligned}[b] I_2(m+1,n+1) = &{\rm i}(-1)^{m+n+2}\\&\times\frac{\Gamma\left(\dfrac{D}{2}\right)}{\Gamma(m+1)\Gamma(n+1)\Gamma(D-2-m-n)}\\&\times\int {\rm d}\Pi^{(3)}F^{\lambda_0}x_1^mx_2^nx_3^{\lambda_3},\; \; \; \end{aligned} $

(18) where
$ F = (x_1+x_2)(m_1^2x_1+m_2^2x_2+x_3)-p_1^2x_1x_2,\; \; \; $

(19) and
$ i_{\lambda_0;m,n} = \int {\rm d}\Pi^{(3)}F^{\lambda_0}x_1^mx_2^nx_3^{\lambda_3},\; \; \; $

(20) with
$ \lambda_0 = -\dfrac{D}{2} $ , and$ \lambda_3 = -3-m-n-2\lambda_0 $ . Using Eq. (15), we can obtain three IBP recurrence relations. First, taking$ \dfrac{{{\partial}}}{{{\partial}} x_1} $ , the first term in (15) gives$ \begin{eqnarray} \lambda_0i_{\lambda_0-1;m,n}+2m_1^2\lambda_0 i_{\lambda_0-1;m+1,n}+\Delta\lambda_0i_{\lambda_0-1;m,n+1},\; \; \; \end{eqnarray} $

(21) where
$ \Delta = m_1^2+m_2^2-p_1^2 $ . The second term gives$ \begin{eqnarray} \delta_{m,0}\int {\rm d}\Pi^{(2)}(x_3+m_2^2x_2)^{\lambda_0}x_2^{n+\lambda_0}x_3^{-2-n-2\lambda_0} = \delta_{m,0}i_{\lambda_0;-1,n}. \; \; \; \end{eqnarray} $

(22) Here, the notation
$ i_{\lambda_0;-1,n} $ must be explained. From the middle expression of (22), we see that it is the parametric form of the tadpole$ \int {{\rm d}^{D}l}/{(l^2-m_2^2)^{n+1}} $ . To emphasize its origin, that is,from a bubble by removingthe first propagator, we extend the definition of$ i_{\lambda_0;\lambda_1,...,\lambda_n} $ given in (12) by setting$ \lambda_1 = -1 $ ⑤. Using the extended notation, we obtain the first IBP relation$ \begin{aligned}[b]& \lambda_0i_{\lambda_0-1;m,n}+2m_1^2\lambda_0 i_{\lambda_0-1;m+1,n}\\&+\Delta\lambda_0i_{\lambda_0-1;m,n+1}+\delta_{m,0}i_{\lambda_0;-1,n} =0. \; \; \; \end{aligned} $

(23) When we set
$ m = n = 0 $ in (23), this reads$ \begin{eqnarray} \lambda_0i_{\lambda_0-1;0,0}+2m_1^2\lambda_0i_{\lambda_0-1;1,0}+ \Delta\lambda_0i_{\lambda_0-1;0,1}+i_{\lambda_0;-1,0} = 0.\; \; \; \end{eqnarray} $

(24) Similarly, we can take the differential
$ \dfrac{{{\partial}} }{{{\partial}} x_2} $ and obtain the second IBP relation$ \lambda_0i_{\lambda_0-1;0,0}+\Delta\lambda_0 i_{\lambda_0-1;1,0}+2m_2^2\lambda_0i_{\lambda_0-1;0,1}+i_{\lambda_0;0,-1} =0.\; \; \; $

(25) We should solve
$ i_{\lambda_0;0,1} $ by$ i_{\lambda_0;0,0} $ from (24) and (25). However, for the bubble part, we have$ \lambda_0-1 $ instead of$ \lambda_0 $ . This could be fixed by rewriting$ \lambda_0\to \lambda_0+1 $ because$ \lambda_0 $ is a free parameter. However, the boundary tadpole part$ i_{\lambda_0;0,-1} $ will become$ i_{\lambda_0+1;0,-1} $ , that is, it will have the dimensional shifting, which is a common feature in the parametric IBP relation.To deal with this, using the parametric form of tadpoles
$ i_{\lambda_0;m,-1} = \int {\rm d}\Pi^{(2)}(x_1x_3+m_1^2x_1^2)^{\lambda_0}x_1^mx_3^{-2-m-2\lambda_0} \; \; \; $

(26) and taking the
$ \dfrac{{{\partial }} }{{{\partial }} x_1} $ and$ \dfrac{{{\partial }} }{{{\partial }} x_3} $ , we can obtain two IBP relations,$ \begin{aligned}[b]& \lambda_0 i_{\lambda_0-1;m,-1}+2m_1^2\lambda_0 i_{\lambda_0-1;m+1,-1}+m i_{\lambda_0,m-1,-1} = 0, \\ & \lambda_0 i_{\lambda_0-1;m+1,-1}+(-1-m-2\lambda_0)i_{\lambda_0;m,-1} = 0,\; \; \; \end{aligned} $

(27) from which we solve
$ \begin{aligned}[b] i_{\lambda_0;0,-1}= &\frac{-\lambda_0}{2m_1^2(2\lambda_0+1)}i_{\lambda_0-1;0,-1},\\ i_{\lambda_0;-1,0} =& \frac{-\lambda_0}{2m_2^2(2\lambda_0+1)}i_{\lambda_0-1;-1,0}.\; \; \; \end{aligned} $

(28) Inserting (28) into (24) and (25), we can solve
$ i_{\lambda_0-1;0,1} $ . After shifting$ \lambda_0\to \lambda_0+1 $ , we finally get$ \begin{aligned}[b] i_{\lambda_0;0,1} =& \frac{2m_1^2-\Delta}{\Delta^2-4m_1^2m_2^2}i_{\lambda_0;0,0}+\frac{-1} {(2\lambda_0+3)(\Delta^2-4m_1^2m_2^2)}i_{\lambda_0;0,-1}\\&+\frac{\Delta}{2m_2^2(2\lambda_0+3) (\Delta^2-4m_1^2m_2^2)}i_{\lambda_0;-1,0}.\; \; \end{aligned} $

(29) Translating back to the scalar basis, we obtain the reduction in
$ I_2(1,2) $ as$ I_2(1,2) = c_{2\to2}I_2(1,1)+c_{2\to1\bar2}I_2(1,0)+c_{2\to1;\bar1}I_2(0,1),\; \; \; $

(30) with the coefficients
$ \begin{aligned}[b] c_{2\to2} = &\frac{(D-3)(\Delta-2m_1^2)}{\Delta^2-4m_1^2m_2^2},\\ c_{2\to1;\bar2} =& \frac{D-2}{\Delta^2-4m_1^2m_2^2},\\ c_{2\to1;\bar1} =& \frac{(D-2)\Delta}{2m_2^2(4m_1^2m_2^2-\Delta^2)}.\; \; \; \end{aligned} $

(31) -
As shown in the previous subsection, the IBP relation given in (15) will contain integrals with dimension shift, which makes the reduction program slightly troublesome. As reviewed in the introduction, there are several references dealing with this or related problems. Based on these studies, an improved version of the IBP relation has been given in [2] (see Eq. (12) and (13)). All these methods require a solution to the syzygy equations, which is not generally an easy task. However, for our one-loop integrals, the function
$ F(x) $ is a homogeneous function of$ x_i $ with degree of two⑥. This good property simplifies the related syzygy equations, which can then be directly solved⑦. In this paper, we develop a direct algorithm to express the IBP relations without dimension shift and terms with unwanted higher power propagators.In the generalized parametric representation, our improved IBP relation involves multiplying Eq. (15) by a degree zero coefficient
$ z_i $ , for example,$ z_i = x_1^{{\alpha}}x_2^{{\beta}}x_3^{-{\alpha}-{\beta}} $ . Because the degree of the new integrand does not change, the IBP identity still holds. Summing them together we get⑧$ \begin{aligned}[b]& \sum_{i = 1}^{n+1}\int {\rm d}\Pi^{(n+1)}\frac{{{\partial }}}{{{\partial }} x_i}\Big\{z_iF^{\lambda_0}x_1^{\lambda_1}x_2^{\lambda_2}\cdots x_{n+1}^{\lambda_{n+1}+1}\Big\}\\&+\sum_{i = 1}^{n+1}\delta_{\lambda_i,0}\int {\rm d}\Pi^{(n)}z_i F^{\lambda_0}x_1^{\lambda_1}\cdots x_n^{\lambda_n}x_{n+1}^{\lambda_{n+1}}|_{x_i = 0} = 0.\; \; \; \end{aligned} $

(32) Because the second boundary term involves integrals with sub-topologies, we focus on the first term. Expanding it, we get
$ \begin{aligned}[b]& \int {\rm d}\Pi^{(n+1)}\Bigg[\sum_{i = 1}^{n+1}\Bigg(\frac{{{\partial }} z_i}{{{\partial }} x_i}+\lambda_0\frac{z_i\frac{{{\partial }} F}{{{\partial }} x_i}}{F}+\lambda_i\frac{z_i}{x_i}\Bigg)+\frac{z_{n+1}}{x_{n+1}}\Bigg]\\&\times F^{\lambda_0}x_1^{\lambda_i}x_2^{\lambda_2}\cdots x_n^{\lambda_n}x_{n+1}^{\lambda_{n+1}+1}. \end{aligned} $

(33) From (13), we can see that the power
$ \lambda_0 $ of F is related to dimension. To cancel the dimension shift, we must choose the proper coefficients$ z_i $ so that$ \displaystyle\sum_{i = 1}^{n+1}z_i\dfrac{{{\partial }} F}{{{\partial }} x_i} $ is a multiple of the function F, that is,$ \sum_{i = 1}^{n+1}z_i\frac{{{\partial }} F}{{{\partial }} x_i}+BF = 0\; .\; $

(34) Because the coefficients
$ z_i $ are not polynomials, (34) is not the "normal syzygy equation," and we cannot directly use the technique developed for the polynomial ring. In [2], Chen developed a method based on the lift and down operators. Here, for the one-loop integrals, we can solve it directly with free auxiliary parameters, as shown later in this paper. When reinserting the solutions to the IBP recurrence relation, we can choose these free parameters to cancel both the dimension shift and unwanted terms with higher power propagators, which leads to a simpler recurrence relation.Now, the idea is explained in detail. Note that in the one loop case, the homogeneous function F is a degree two function of
$ x_i $ ; therefore, we can write F as$ \begin{eqnarray} F = {1\over 2} A_{ij} x_i x_j ,\end{eqnarray} $

(35) where A is a symmetric matrix⑨. Thus, we have
$ f_i\equiv \frac{{{\partial}} F}{{{\partial}} x_i},\quad \hat f = \hat A \hat x,\quad \hat f\equiv \left[\begin{array}{c} f_1 \nonumber \\ f_2 \nonumber \\ \vdots \nonumber \\ f_n \nonumber \\ f_{n+1} \end{array}\right],\quad \hat x\equiv \left[\begin{array}{c} x_1 \nonumber \\ x_2 \nonumber \\ \vdots \nonumber \\ x_n \nonumber \\ x_{n+1} \end{array}\right], $

Solving
$ \hat x = \hat A^{-1} \hat f $ , we have$ \begin{aligned}[b] F =& {1\over 2} \hat x^T A \hat x = {1\over 2} \hat f^T (\hat A^{-1})^T \hat A \hat A^{-1} \hat f \\=& {1\over 2} \hat f^T (\hat A^{-1})^T \hat f\equiv \hat f^{T} \hat K \hat f,\\K = &{1\over 2}A^{-1}, \; \; \; \end{aligned} $

(36) where the coefficient matrix
$ \hat K $ is a real symmetry matrix. In fact, we can go further. Using$ \begin{eqnarray} 0& = &\hat f^{T} \hat K_{A} \hat f\; \; \; \end{eqnarray} $

(37) with any antisymmetric matrix
$ K_{A} $ , we can add (37) to (36) to obtain a more general form ⑩$ \begin{aligned}[b] F= &\hat f^{T}\hat K\hat f+\hat f^T\hat K_A \hat f = \hat f^T (\hat K+\hat K_A)\hat f \equiv\hat f^T \hat R \hat f\\ =& \hat f^T\hat R\hat A\hat x \equiv \hat f^T\hat Q\hat x,\\ \hat Q\equiv& {1\over 2}\hat I+ \hat K_A\hat A.\; \; \; \end{aligned} $

(38) Note that because the arbitrary matrix
$ \hat K_A $ is of rank$ n+1 $ , there are$ \dfrac{n(n+1)}{2} $ free independent parameters,$ a_{1},\cdots, a_{{(n(n+1))}/{2}} $ , in the matrix$ \hat Q $ in (38).Now, reinserting (38) into (34), we can solve
$ \hat z $ as$ \begin{eqnarray} \hat f^T \hat z+ B \hat f^T\hat Q\hat x = 0,\; \; \; \Longrightarrow \hat z = -B\hat Q\hat x.\; \; \; \; \; \; \; \; \; \; \end{eqnarray} $

(39) Note that because z is degree zero, we should ensure B is a homogenous function of degree
$ -1 $ . In this study, we choose$ B ={1}/{x_{n+1}} $ . The choice of z given by (39) will guarantee the removal of dimension shift in the IBP relation. Furthermore, by choosing particular values of the free parameters of$ \hat Q $ , we may cancel several unwanted terms. Some examples are shown in later computations to illustrate this trick. -
As mentioned in the introduction, one motivation of this study is to complete reduction in the scalar basis with general powers. Using the unitarity cut method in [3], we are able to find reduction coefficients of all bases, except the tadpole. In this section, we will use the improved IBP relation (32) to find the tadpole coefficients as well as other coefficients.
-
We begin with bubble topology. Although this was already done in (30), we redo it using the improved IBP relation (32). The parametric form of bubble is given by (18), (19), and (20). Using our label, we have
$ \hat f = \hat A \hat x,\; \; \; \; \; \hat A = \left[\begin{array}{ccc} 2m_1^2&\Delta&1 \\ \Delta&2m_2^2&1 \\ 1&1&0 \end{array}\right], \\ \; \; \; \; $

(40) and
$ \begin{aligned}[b]F =& \hat f^T \hat K\hat f,\\ \hat K =& \left[\begin{array}{ccc} \dfrac{1}{4p_1^2}&-\dfrac{1}{4p_1^2}&\dfrac{-m_1^2+m_2^2+p_1^2}{4p_1^2} \\ -\dfrac{1}{4p_1^2}&\dfrac{1}{4p_1^2}&\dfrac{m_1^2-m_2^2+p_1^2}{4p_1^2} \\ \dfrac{-m_1^2+m_2^2+p_1^2}{4p_1^2}&\dfrac{m_1^2-m_2^2+p_1^2}{4p_1^2}&\dfrac{\Delta^2-4m_1^2m_2^2}{4p_1^2} \end{array}\right]. \\ \; \end{aligned}$

(41) Adding the antisymmetric matrix
$ K_A $ , we have$ \begin{aligned}[b] \hat K_A& = &\left[\begin{array}{ccc} 0&a_1&a_2 \\ -a_1&0&a_3 \\ -a_2&-a_3&0 \\ \end{array}\right],\; \; \hat Q = \left[\begin{array}{ccc} \dfrac{1+2a_2+2a_1m_1^2+2a_1m_2^2-2a_1p_1^2}{2}&a_2+2a_1m_2^2&a_1 \\ a_3-2a_1m_1^2&\dfrac{1+2a_3-2a_1m_1^2-2a_1m_2^2+2a_1p_1^2}{2}&-a_1 \\ -2a_2m_1^2-a_3(m_1^2+m_2^2-p_1^2)&-2a_3m_2^2-a_2(m_1^2+m_2^2-p_1^2)&\dfrac{1-2a_2-2a_3}{2} \end{array}\right]. \\ \; \; \; \; \end{aligned} $

(42) -
Taking
$ B = {-1}/{ x_3} $ in (34), solution (39) gives$ z_i = { (Q_{ij} x_j)}/{ x_3} $ . Expanding (32), we obtain the IBP recurrence relation$ \begin{aligned}[b] &c_{m,n}i_{\lambda_0;m,n}+c_{m+1,n}i_{\lambda_0;m+1,n}+c_{m+1,n-1}i_{\lambda_0;m+1,n-1}\\&+c_{m,n+1}i_{\lambda_0;m,n+1}+ c_{m-1,n+1}i_{\lambda_0;m-1,n+1}\\ &+c_{m,n-1}i_{\lambda_0;m,n-1}+c_{m-1,n}i_{\lambda_0;m-1,n}+\delta_{2} = 0,\; \; \; \end{aligned} $

(43) where
$ \delta_2 $ is the boundary term, which we will compute later. The other coefficients are$ \begin{aligned}[b]& c_{m,n} = Q_{11}(1+m)+Q_{22}(1+n)+Q_{33}(1+\lambda_3)+\lambda_0, \\& c_{m+1,n} = Q_{31}\lambda_3 = -\lambda_3(a_2A_{11}+a_3A_{21}),\\& c_{m+1,n-1} = Q_{21}n = -n(a_1A_{11}-a_3A_{31}), \end{aligned} $

$ \begin{aligned}[b] c_{m,n+1} = &Q_{32}\lambda_3 = -\lambda_3(a_2A_{12}-a_{3}A_{22}),\\ c_{m-1,n+1} =& Q_{12}m = m(a_1A_{22}+a_{2}A_{32}), \\ c_{m,n-1} = &Q_{23}n = -n(a_1A_{13}-a_3A_{33}),\\ c_{m-1,n} =& Q_{13}m = m(a_1A_{32}+a_2A_{33}). \end{aligned} $

(44) Because we aim to obtain the reduction in
$ I_2(1,2) $ , starting from$ m = n = 0 $ , we want to eliminate terms with the indices$ (m+1,n) $ and$ (m+1,n-1) $ while keeping the term with the index$ (m,n+1) $ . Thus, we impose$ c_{m+1,n} = 0 $ and$ c_{m+1,n-1} = 0 $ , which can be satisfied by choosing the free parameters⑪$ \begin{aligned}[b] a_2 = &-\frac{a_1A_{21}}{A_{31}} = -a_1(m_1^2+m_2^2-p_1^2),\\ a_3 =& \frac{a_1A_{11}}{A_{31}} = 2a_1m_1^2.\; \; \; \end{aligned} $

(45) After this choice, the matrix
$ \hat Q $ becomes$ \hat Q_{;r} = \left[\begin{array}{ccc} \dfrac{1}{2}&\dfrac{a_1}{A_{31}}(A_{22}A_{31}-A_{21}A_{32})&\dfrac{a_1}{A_{31}}(A_{23}A_{31}-A_{21}A_{33}) \nonumber \\ 0&\dfrac{1}{2}-\frac{a_{1}}{A_{31}}(A_{12}A_{31}-A_{11}A_{32})&\dfrac{a_1}{A_{31}}(A_{11}A_{33}-A_{13}A_{31}) \nonumber \\ 0&\dfrac{a_1}{A_{31}}(A_{12}A_{21}-A_{11}A_{22})&\dfrac{1}{2}+\dfrac{a_1}{A_{31}}(A_{13}A_{21}-A_{11}A_{23})\end{array}\right], $ 
leaving five terms with non-zero coefficients⑫.
$ \begin{aligned}[b] c_{m,n+1} = &\frac{-a_1\lambda_3}{A_{31}}(A_{11}A_{22}-A_{12}A_{21}) = \frac{-a_1\lambda_3}{A_{31}} |\tilde A_{33}| = a_1\lambda_3, \\ c_{m-1,n+1} = &-\frac{ma_1}{A_{31}}(A_{21}A_{32}-A_{22}A_{31}) = -\frac{ma_1}{A_{31}}|\tilde A_{13}| = -a_1m(m_1^2-m_2^2-p_1^2), \\ c_{m,n-1} = &\frac{na_1}{A_{31}}(A_{11}A_{33}-A_{13}A_{31}) = \frac{na_1}{A_{31}}|\tilde A_{22}| = -a_1n, \\ c_{m-1,n} = &-\frac{ma_1}{A_{31}}(A_{21}A_{33}-A_{23}A_{31}) = \frac{-ma_1}{A_{31}}|\tilde A_{12}| = a_1m, \\ c_{m,n} = &\frac{a_1}{A_{31}}\Big((1+n)(A_{11}A_{32}-A_{12}A_{31})-(\lambda_3+1)(A_{11}A_{23}-A_{13}A_{21})\Big) = \frac{a_1}{A_{31}}(n-\lambda_3)|\tilde A_{23}| \\ = &\frac{a_1}{A_{31}}\Big((n-\lambda_3)(m_1^2-m_2^2+p_1^2)\Big).\; \; \; \end{aligned} $

(46) The boundary
$ \delta_{2} $ term: The$ \delta_2 $ term is given by$ \delta_2= \sum_{i = 1}^{3}\delta_{\lambda_i,0}\int {\rm d}\Pi^{(2)} \Big\{z_iF^{\lambda_0}x_1^mx_2^nx_3^{\lambda_3+1}\Big\}\Big|_{x_i = 0}, $

(47) where
$ \lambda_i $ represents the power of$ x_i $ . It is worth emphasizing that because$ z_i $ contains$ x_i $ , the total power$ \lambda_i $ of$ x_i $ is not equal to$ m,n,\lambda_3 $ in general. Expanding it, we get⑬$ \begin{aligned}[b]\\[-10pt] \delta_2 = &\delta_{\lambda_1,0}\int {\rm d}\Pi^{(2)}\Big(Q_{11}F^{\lambda_0}x_1^{m+1}x_2^nx_3^{\lambda_3}+Q_{12}F^{\lambda_0}x_1^mx_2^{n+1}x_3^{\lambda_3}+Q_{13}F^{\lambda_0}x_1^mx_2^nx_3^{\lambda_3+1}\Big)\Big|_{x_1 = 0} \\ &+\delta_{\lambda_2,0}\int {\rm d}\Pi^{(2)}\Big(Q_{21}F^{\lambda_0}x_1^{m+1}x_2^nx_3^{\lambda_3}+Q_{22}F^{\lambda_0}x_1^{m}x_2^{n+1}x_3^{\lambda_3}+Q_{23}F^{\lambda_0}x_1^mx_2^nx_3^{\lambda_3+1}\Big)\Big|_{x_2 = 0}.\\ \end{aligned} $ 
(48) Remembering our extended notation explained under (22), we have
$ \begin{eqnarray} \int {\rm d}\Pi^{(2)} F|_{x_1 = 0}^{\lambda_0}x_2^n\equiv& i_{\lambda_0;-1,n},\quad \int {\rm d}\Pi^{(2)}F|_{x_2 = 0}^{\lambda_0}x_1^m\equiv i_{\lambda_0;m,-1},\; \; \; \; \end{eqnarray} $

(49) and the
$ \delta_{2} $ term can be written as$ \begin{aligned}[b] \delta_{2;r} = &\delta_{\lambda_1,0}\Big(Q_{11;r}i_{\lambda_0;m+1,n}+Q_{12;r}i_{\lambda_0;m,n+1}+Q_{13;r}i_{\lambda_0;m,n}\Big) +\delta_{\lambda_2,0}\Big(Q_{21;r}i_{\lambda_0;m+1,n}+Q_{22;r}i_{\lambda_0;m,n+1}+Q_{23;r}i_{\lambda_0;m,n}\Big) \\ = &\delta_{m,-1}Q_{11;r}i_{\lambda_0;-1,n}+\delta_{m,0}Q_{12;r}i_{\lambda_0;,-1,n+1}+\delta_{m,0}Q_{13;r}i_{\lambda_0;-1,n} +\delta_{n,0}Q_{21;r}i_{\lambda_0;m+1,-1}+\delta_{n,-1}Q_{22;r}i_{\lambda_0;m,-1}+\delta_{n,0}Q_{23;r}i_{\lambda_0;m,-1}, \; \; \; \end{aligned} $

(50) where the subscript r in
$ \delta_{2;r} $ and$ Q_{ij;r} $ indicates that$ a_2 $ and$ a_3 $ should be replaced by (45).Because m and n cannot be
$ -1 $ , the first and fifth terms are actually zero.Now, we can use (43) and (50) to get our result directly. Setting
$ m = 0 $ ,$ n = 0 $ , and all other terms in (43) equal to zero, and we are left with⑭$ \begin{eqnarray} c_{0,0}i_{\lambda_0;0,0}+c_{0,1}i_{\lambda_0;0,1}+\delta_{2;00}& =0,\; \; \; \; \end{eqnarray} $

(51) with the coefficients
$ \begin{aligned}[b]\\ c_{0,0} = &-a_1(D-3)(m_1^2-m_2^2+p_1^2), \\ c_{0,1} = &a_1(D-3)\Big(m_1^4+m_2^4p_1^4-2m_1^2p_1^2-2m_2^2p_1^2-2m_1^2m_2^2\Big), \\ \delta_{2;00} = &Q_{12;r}i_{\lambda_0;-1,1}+Q_{13;r}i_{\lambda_0;-1,0}+Q_{21;r}i_{\lambda_0;1,-1}+Q_{23;r}i_{\lambda_0;0,-1}, \; \; \; \; \end{aligned} $ 
(52) where
$ \begin{aligned}[b] Q_{21;r} = &\frac{-a_1}{A_{31}}(A_{21}A_{32}-A_{22}A_{31}) = \frac{-a_1}{A_{31}}|\tilde A_{13}|,\quad Q_{23;r} = \frac{-a_1}{A_{31}}(A_{11}A_{33}-A_{13}A_{31}) = \frac{-a_1}{A_{31}}|\tilde A_{22}|, \\ Q_{12;r} = &\frac{-a_1}{A_{31}}(A_{21}A_{32}-A_{22}A_{31}) = \frac{-a_{1}}{A_{31}}|\tilde A_{13}|,\quad Q_{13;r} = \frac{-a_1}{A_{31}}(A_{21}A_{33}-A_{23}A_{31}) = \frac{-a_1}{A_{31}}|\tilde A_{12}|. \end{aligned} $

(53) From this, we can directly write the solution as
$ \begin{eqnarray} i_{\lambda_0;0,1}& = -\frac{c_{0,0}}{c_{0,1}}i_{\lambda_0;0,0}-\frac{Q_{21;r}}{c_{0,1}}i_{\lambda_0;1,-1}-\frac{Q_{23;r}}{c_{0,1}}i_{\lambda_0;0,-1}-\frac{Q_{12;r}}{c_{0,1}}i_{\lambda_0;-1,1}-\frac{Q_{13;r}}{c_{0,1}}i_{\lambda_0;-1,0}. \; \; \; \; \end{eqnarray} $

(54) Translating back to scalar integrals, it is
$ \begin{aligned}[b] I_2(1,2) = &c_{12\to11}I_2(1,1)+c_{12\to10}I_2(1,0)\\&+c_{12\to20}I_2(2,0)+c_{12\to01}I_2(0,1)\\&+c_{12\to02}I_2(0,2), \end{aligned} $

(55) with
$ c_{12\to20} = 0 $ and$ \begin{aligned}[b] c_{12\to11} = &{-(-3 + D) (m_1^2 - m_2^2 + p_1^2))\over( m_1^4 + (m_2^2 - p_1^2)^2 - 2 m_1^2 (m_2^2 + p_1^2)},\\ c_{12\to10} =& \frac{D-2}{-2 m_1^2 \left(m_2^2+p_1^2\right)+m_1^4+\left(m_2^2-p_1^2\right)^2} \\ c_{12\to01} = &\frac{2-D}{-2 m_1^2 \left(m_2^2+p_1^2\right)+m_1^4+\left(m_2^2-p_1^2\right)^2},\\ c_{12\to02} =& \frac{-m_1^2+m_2^2+p_1^2}{-2 m_1^2 \left(m_2^2+p_1^2\right)+m_1^4+\left(m_2^2-p_1^2\right)^2}. \end{aligned} $

(56) Using
$ I_2(2,0) = \dfrac{D-2}{2m_1^2}I_2(1,0) $ ⑮ and$ I_2(0,2) = \dfrac{D-2}{2m_2^2}I_2(0,1) $ , we have our final results for the reduction in$ I_2(1,2) $ ,$ I_2(1,2) = c_{2\to2}I_2(1,1)+c_{2\to1;\bar2}I_2(1,0)+c_{2\to1;\bar1}I_2(0,1), $

(57) with the coefficients
$ \begin{aligned}[b] c_{2\to2} = &-\frac{(D-3) \left(m_1^2-m_2^2+p_1^2\right)}{-2 m_1^2 \left(m_2^2+p_1^2\right)+m_1^4+\left(m_2^2-p_1^2\right)^2}, \\ c_{2\to1;\bar2} = &\frac{D-2}{-2 m_1^2 \left(m_2^2+p_1^2\right)+m_1^4+\left(m_2^2-p_1^2\right)^2}, \\ c_{2\to1;\bar1} = &-\frac{(D-2) \left(m_1^2+m_2^2-p_1^2\right)}{2 m_2^2 \left(-2 m_1^2 \left(m_2^2+p_1^2\right)+m_1^4+\left(m_2^2-p_1^2\right)^2\right)},\end{aligned} $

(58) which is given in (30).
-
Now, let us consider more complicated examples, that is, bubbles with general higher power propagators. With the choice of (45), we get an IBP recurrence relation (46) and use it to reduce the bubbles
$ i_{\lambda_0,m,n+1} $ to simpler bubbles, which have a lower total propagator power and no higher power in$ D_2 $ . Similarly, by choosing different values of$ a_2 $ and$ a_3 $ , we can obtain another IBP recurrence relation to reduce the integral to those with no higher power in$ D_1 $ . The choice is$ \begin{eqnarray} a_2 = -\frac{a_1A_{22}}{A_{32}},\quad a_3 = \frac{a_1A_{12}}{A_{32}}, \\ \end{eqnarray} $

(59) and the corresponding IBP recurrence is
$ \begin{aligned}[b]& c_{m+1,n}i_{\lambda_0,m+1,n}+c_{m+1,n-1}i_{\lambda_0,m+1,n-1}+c_{m,n-1}i_{\lambda_0,m,n-1}\\&+c_{m-1,n}i_{\lambda_0,m-1,n}+c_{m,n}i_{\lambda_0,m,n}+\delta_{2;r} = 0 , \end{aligned} $

(60) with the coefficients
$ \begin{aligned}[b] c_{m+1,n} = &(|\tilde A_{33}|)(D-3-m-n),\quad c_{m+1,n-1} = -n|\tilde A_{23}|, \\ c_{m,n-1}= &n|\tilde A_{21}|,\quad c_{m-1,n} = -m|\tilde A_{11}|,\\c_{m,n} =& |\tilde A_{13}|(3+2m+n-D), \end{aligned} $

(61) and the boundary term
$ \delta_{2;r'} = -\delta_{m,0}|\tilde A_{11}|i_{\lambda_0,m,n}+\delta_{n,0}\Big(-|\tilde A_{32}|i_{\lambda_0,m+1,n}+|\tilde A_{21}|i_{\lambda_0,m,n}\Big) . $

(62) Combining (46) and (60), we can reduce the general bubbles.
-
In the example
$ I_2(1,3) $ , we simply need to reduce$ D_2 $ from power$ 3 $ to$ 1 $ . The strategy is to use (46) twice. In the first step, by setting$ m = 0 $ and$ n = 1 $ in (46), we get$ \begin{aligned}[b] I_2(1,3) = &\frac{|\tilde A_{23}|(D-5)}{2|\tilde A_{33}|}I_2(1,2)+\frac{|\tilde A_{22}|(D-3)}{2|\tilde A_{33}|}I_2(1,1)\\&+\frac{-|\tilde A_{12}|(D-3)}{2|\tilde A_{33}|}I_2(0,2)+\frac{|\tilde A_{13}|}{|\tilde A_{33}|}I_2(0,3). \end{aligned} $

(63) For the first term in (63), setting
$ m = 0 $ and$ n = 0 $ in (46) again, we have$ \begin{aligned}[b] I_2(1,2) = &\frac{|\tilde A_{23}|(D-3)}{|\tilde A_{33}|}I_2(1,1)+\frac{|\tilde A_{22}|(D-2)}{|\tilde A_{33}|}I_2(1,0)\\&+\frac{|\tilde A_{13}|}{|\tilde A_{33}|}I_2(0,2)+\frac{-|\tilde A_{12}|(D-2)}{|\tilde A_{33}|}I_2(0,1).\end{aligned} $

(64) Inserting (64) into (63) and using the reduction in the tadpole⑯, we get
$ I_2(1,3) = c_{13\to11}I_2(1,1)+c_{13\to10}I_2(1,0)+c_{13\to01}I_2(0,1), $

(65) with the coefficients
$ \begin{aligned}[b] c_{13\to11} = &\frac{(|\tilde A_{23}||\tilde A_{33}|+|\tilde A_{23}|^2(D-5))(D-3)}{2|\tilde A_{33}|^2}, \\ c_{13\to10} = &\frac{|\tilde A_{22}||\tilde A_{23}|(D-5)(D-2)}{2|\tilde A_{33}|^2}, \\ c_{13\to01} = &\frac{(D-2)}{8|\tilde A_{33}|^2m_2^4}A_{21} (2 A_{32} |\tilde A_{23}| (D-5) m_{2}^2+A_{32} A_{t33} (D-4)\\&-4 A_{33} |\tilde A_{23}| (D-5) m_{2}^4-2 A_{33}|\tilde A_{33}| (D-3) m_{2}^2) \\ &-A_{22} A_{31} (2 |\tilde A_{23}| (D-5) m_{2}^2+A_{t33} (D-4))\\&+2 A_{23} A_{31} m_{2}^2 (2 |\tilde A_{23}| (D-5) m_{2}^2+|\tilde A_{33}| (D-3)). \end{aligned} $

(66) The result is confirmed with FIRE6. In this example, we simply need to solve two equations to reduce the bubble topology.
-
For this example, we must use (60) to lower the power of
$ D_1 $ and (46) to lower the power of$ D_2 $ . Setting$ m = 1 $ and$ n = 4 $ in (60), we can reduce$ I_2(3,5) $ to$ I_2(2,4) $ ,$ I_2(2,5) $ ,$ I_2(1,5) $ , and$ I_2(3,4) $ .$ \begin{aligned}[b] I_2(3,5) = &\frac{|\tilde A_{11}|(D-7)}{2|\tilde A_{33}|}I_2(1,5)+\frac{-|\tilde A_{13}|(D-9)}{2|\tilde A_{33}|}I_2(2,5)\\&+\frac{-|\tilde A_{21}|(D-7)}{2|\tilde A_{33}|}I_2(2,4)+\frac{|\tilde A_{23}|}{|\tilde A_{33}|}I_2(3,4).\end{aligned} $

(67) Then, setting
$ m = 1 $ and$ n = 3 $ in (60), we reduce$ I_2(3,4) $ to$ I_2(1,4) $ ,$ I_2(2,3) $ ,$ I_2(2,4) $ , and$ I_2(3,3) $ .$ \begin{aligned}[b] I_2(3,4) = &\frac{-|\tilde A_{23}|}{|\tilde A_{33}|}I_2(3,3)+\frac{-|\tilde A_{13}|(D-8)}{2|\tilde A_{33}|}I_2(2,4)\\&+\frac{-|\tilde A_{21}|(D-6)}{2|\tilde A_{33}|}I_2(2,3)+\frac{|\tilde A_{11}|(D-6)}{2|\tilde A_{33}|}I_2(1,4). \end{aligned} $

(68) Using the same idea, we must solve
$ 14 $ equations to completely reduce$ I_{2}(3,5) $ . The analytic expressions for these$ 14 $ equations have also been confirmed by FIRE6. -
The triangle
$ I_3(m+1,n+1,q+1) $ is given by$ \begin{aligned}[b]& I_3(m+1,n+1,q+1)\\ =& \int \frac{{\rm d}^{D}l}{(l^2-m_1^2)^{m+1}((l-p_1)^2-m_2^2)^{n+1}((l+p_3)^2-m_3^2)^{q+1}}. \end{aligned} $

(69) Its parametric form is
$ \begin{aligned}[b]& I_3(m+1,n+1,q+1)\\ = &{\rm i}(-1)^{3+m+n+q}\frac{\Gamma(-\lambda_0)}{\Gamma(m+1)\Gamma(n+1)\Gamma(q+1)\Gamma(\lambda_4+1)}i_{\lambda_0,m,n,q}, \; \; \; \end{aligned} $

(70) where
$ \begin{aligned}[b] &i_{\lambda_0;m,n,q} = \int {\rm d}\Pi^{(4)}F^{\lambda_0}x_1^mx_2^nx_3^qx_4^{\lambda_4},\quad \lambda_0 = -\frac{D}{2},\\& \lambda_4 = -4-2\lambda_0-m-n-q = D-4-m-n-q . \end{aligned} $

(71) Using expression (10), we have
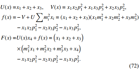
$ \begin{aligned}[b] U(x) = &x_1+x_2+x_3,\; \; \; \; \; V(x) = x_1x_2 p_1^2+x_1x_3 p_3^2+x_2x_3 p_2^2, \\ f(x) = &-V+U\sum m_i^2x_i = (x_1+x_2+x_3)(x_1m_1^2+x_2m_2^2+x_3m_3^2)\\&-x_1x_2p_1^2-x_2x_3p_2^2-x_1x_3p_3^2, \\ F(x)= &U(x)x_4+f(x) = \Big(x_1+x_2+x_3\Big)\\&\times\Big(m_1^2x_1+m_2^2x_2+m_3^2x_3+x_4\Big)\\&-x_1x_2p_1^2-x_2x_3p_2^2-x_1x_3p_3^2. \; \; \; \; \end{aligned} $

(72) Thus, we can express the matrices as
$ \begin{aligned}[b] \hat A = &\left[\begin{array}{cccc} 2m_1^2&m_1^2+m_2^2-p_1^2&m_1^2+m_3^2-p_3^2&1 \\ m_1^2+m_2^2-p_1^2&2m_2^2&m_2^2+m_3^2-p_2^2&1 \\ m_1^2+m_3^2-p_3^2&m_2^2+m_3^2-p_2^2&2m_3^2&1 \\ 1&1&1&0 \end{array}\right], \\ \hat K_{A} =& \left[\begin{array}{cccc} 0&a_1&a_2&a_3 \\ -a_1&0&a_4&a_5 \\ -a_2&-a_4&0&a_6 \\ -a_3&-a_5&-a_6&0 \end{array}\right], \quad \hat Q = \frac{1}{2}\hat I+\hat K_{A}\hat A.\; \; \; \; \; \; \end{aligned} $

(73) -
Taking
$ B = \dfrac{-1}{x_4} $ in (39), we get$ z_i = \dfrac{Q_{ij} x_j}{x_4} $ . Taking this relation into our IBP identities (32), we get$ \begin{eqnarray} \sum_{i = 1}^4 \int {\rm d}\Pi^{(4)} \Big\{z_iF^{\lambda_0}x_1^mx_2^nx_3^qx_4^{\lambda_4+1}\Big\}+\delta_{3}& =0,\; \; \; \; \; \; \end{eqnarray} $

(74) for which we deal with the boundary
$ \delta_3 $ term later. After expanding the first term, we get$ \begin{aligned}[b] &c_{m,n,q}i_{\lambda_0;m,n,q}+c_{m+1,n,q}i_{\lambda_0;m+1,n,q}+c_{m+1,n,q-1}i_{\lambda_0;m+1,n,q-1}+c_{m+1,n-1,q}i_{\lambda_0;m+1,n-1,q} \\ &+c_{m-1,n+1,q}i_{\lambda_0;m-1,q+1,q}+c_{m,n+1,q-1}i_{\lambda_0;m,n+1,q-1}+c_{m,n+1,q}i_{\lambda_0;m,n+1,q}+c_{m,n,q+1}i_{\lambda_0;m,n,q+1} \\ &+c_{m,n-1,q+1}i_{\lambda_0;m,n-1,q+1}+c_{m-1,n,q+1}i_{\lambda_0;m-1,n,q+1}+c_{m-1,n,q}i_{\lambda_0;m-1,n,q}+c_{m,n-1,q}i_{m,n-1,q} \\ &+c_{m,n,q-1}i_{\lambda_0;m,n,q-1}+\delta_3 = 0,\end{aligned} $

(75) with the coefficients
$ \begin{aligned}[b] c_{m,n,q} = &\lambda_0+(m+1) Q_{11}+(n+1) Q_{22}+(q+1) Q_{33}+(\lambda_4+1) Q_{44}, \\ c_{m+1,n,q} = &\lambda_4 Q_{41},\; \; c_{m+1,n,q-1} = q Q_{31},\; \; c_{m+1,n-1,q} = n Q_{21},\; \; c_{m,n,q-1} = q Q_{34}, \\ c_{m-1,n+1,q} = &m Q_{12},\; \; c_{m,n+1,q-1} = q Q_{32},\; \; c_{m,n+1,q} = \lambda_4 Q_{42},\; \; c_{m,n,q+1} = \lambda_4 Q_{43}, \\ c_{m,n-1,q+1} = &n Q_{23},\; \; c_{m-1,n,q+1} = m Q_{13},\; \; c_{m-1,n,q} = m Q_{14},\; \; c_{m,n-1,q} = n Q_{24}. \end{aligned} $

(76) Now, we can choose particular values for our six parameters
$ a_1 $ ,$ a_2 $ ,$ a_3 $ ,$ a_4 $ ,$ a_5 $ , and$ a_6 $ to let the coefficients$ c_{m+1,n,q} $ ,$ c_{m+1,n,q-1} $ ,$ c_{m+1,n-1,q} $ ,$ c_{m-1,n+1,q} $ ,$ c_{m,n+1,q} $ , and$ c_{m,n+1,q} $ be zero. The solutions are$ \begin{aligned}[b] a_2 = &-a_1\frac{A_{21}A_{42}-A_{22}A_{41}}{A_{31}A_{42}-A_{32}A_{41}} = -\frac{a_1 \left(-m_1^2+m_2^2+p_1^2\right)}{-m_1^2+m_2^2+2 (p_1\cdot p_2)+p_1^2}, \\ a_3 = &\frac{a_{1} (A_{21} A_{32}-A_{22} A_{31})}{A_{31} A_{42}-A_{32} A_{41}} = -\frac{a_1 \left(m_1^2-m_2^2-p_1^2\right) \left(m_2^2+m_3^2-p_2^2\right)}{-m_1^2+m_2^2+2 (p_1\cdot p_2)+p_1^2}-2 a_1 m_2^2, \\ a_4= &\frac{a_{1} (A_{11} A_{42}-A_{12} A_{41})}{A_{31} A_{42}-A_{32} A_{41}} = -\frac{a_1 \left(m_1^2-m_2^2+p_1^2\right)}{-m_1^2+m_2^2+2 (p_1\cdot p_2)+p_1^2}, \\ a_5 = &\frac{-a_{1} (A_{11} A_{32}-A_{12} A_{31})}{A_{31} A_{42}-A_{32} A_{41}} = \frac{a_1 \left(m_1^2-m_2^2+p_1^2\right) \left(m_1^2+m_3^2-2 (p_1\cdot p_2)-p_1^2-p_2^2\right)}{-m_1^2+m_2^2+2 (p_1\cdot p_2)+p_1^2}+2 a_1 m_1^2, \\ a_6 = &\frac{a_{1} (A_{11} A_{22}-A_{12} A_{21})}{A_{31} A_{42}-A_{32} A_{41}} = \frac{a_1 \left(m_1^4-2 m_1^2 \left(m_2^2+p_1^2\right)+\left(m_2^2-p_1^2\right)^2\right)}{-m_1^2+m_2^2+2 (p_1\cdot p_2)+p_1^2}. \end{aligned} $

(77) Then, the matrix
$ \hat Q $ becomes$ \hat Q_{r} = \frac{1}{\Delta_{A}}\left[\begin{array}{cccc} \dfrac{1}{2}\Delta_{A}&0&a_1|\tilde A_{14}|&\; \; \; \; \; \; \; a_1|\tilde A_{13}| \nonumber \\ 0&\dfrac{1}{2}\Delta_{A}&-a_1|\tilde A_{24}|&\; \; \; \; \; \; \; a_1|\tilde A_{23}| \nonumber \\ 0&0&\dfrac{1}{2}\Delta_{A}+a_1|\tilde A_{34}|&\; \; \; \; \; \; \; a_1|\tilde A_{33}| \nonumber \\ 0&0&-a_1|\tilde A_{44}|&\; \; \; \; \dfrac{1}{2}\Delta_A -a_1|\tilde A_{43}| \end{array}\right],\quad \Delta_{A} = {\rm Det}\left[\begin{array}{cc} A_{31}&A_{32} \nonumber \\ A_{41}&A_{42} \end{array}\right] = A_{31}A_{42}-A_{32}A_{41}. $

After this, we obtain the reduced IBP relation, where only the propagator
$ D_3 = (l+p_3)^2-m_3^2 $ has one increasing power,$ \begin{aligned}[b] &c_{m,n,q}i_{\lambda_0;m,n,q}+c_{m,n,q+1}i_{\lambda_0;m,n,q+1}+c_{m,n-1,q+1}i_{\lambda_0;m,n-1,q+1}+c_{m-1,n,q+1}i_{\lambda_0;m-1,n,q+1} \\ &+c_{m-1,n,q}i_{\lambda_0;m-1,n,q}+c_{m,n-1,q}i_{\lambda_0;m,n-1,q}+c_{m,n,q-1}i_{\lambda_0;m,n,q-1}+\delta_{3;r} = 0 ,\end{aligned} $

(78) with the coefficients
$ \begin{aligned}[b] c_{m,n,q} = &\lambda_0+mQ_{11;r}+nQ_{22;r}+qQ_{33;r}+Q_{11;r}+Q_{22;r}+Q_{33;r}+\lambda_4Q_{44;r}+Q_{44;r}, \\ c_{m,n,q+1} = &\lambda_4 Q_{43;r} = \frac{-a_1\lambda_4}{A_{31}A_{42}-A_{32}A_{41}}|\tilde A_{44}|,\; \; c_{m,n-1;q+1} = nQ_{23;r} = \frac{-a_1n}{A_{31}A_{42}-A_{32}A_{41}}|\tilde A_{24}|, \\ c_{m-1,n,q+1} = &mQ_{13;r} = \frac{a_1m}{A_{31}A_{42}-A_{32}A_{41}}|\tilde A_{14}|,\; \; c_{m-1,n,q} = mQ_{14;r}\frac{a_1m}{A_{31}A_{42}-A_{32}A_{41}}|\tilde A_{13}|, \\ c_{m,n-1,q} = &nQ_{24;r} = \frac{-a_1n}{A_{31}A_{42}-A_{32}A_{41}}|\tilde A_{23}|,\; \; c_{m,n,q-1} = qQ_{34;r} = \frac{a_1q}{A_{31}A_{42}-A_{23}A_{41}}|\tilde A_{33}|, \end{aligned} $

(79) where the subscript r in
$ \delta_{3;r} $ and$ Q_{ij;r} $ indicates that the parameters$ a_2 $ to$ a_6 $ should be replaced by (77).The reduction in the boundary
$ \delta_{3} $ part: Similar to the bubble situation, inserting the value of$ z_i $ into the$ \delta_{3} $ part, we obtain$ \begin{aligned}[b] \delta_{3;r} = &\Big(\delta_{m+1,0}Q_{11;r}+\delta_{m,0}Q_{14;r}\Big)i_{\lambda_0,-1,n,q}+\delta_{m,0}Q_{12;r}i_{\lambda_0,-1,n+1,q}+\delta_{m,0}Q_{13;r}i_{\lambda_0,-1,n,q+1} \\ &+\delta_{n,0}Q_{21;r} i_{\lambda_0,m+1,-1,q}+\Big(\delta_{n+1,0}Q_{22;r}+\delta_{n,0}Q_{24;r}\Big)i_{\lambda_0,m,-1,q}+\delta_{n,0}Q_{23;r} i_{\lambda_0,m,-1,q+1} \\ &+\delta_{q,0}Q_{31;r}i_{\lambda_0,m+1,n,-1}+\delta_{q,0}Q_{32;r}i_{\lambda_0,m,n+1,-1}+\Big(\delta_{q+1,0}Q_{33;r}+\delta_{q,0}Q_{34;r}\Big)i_{\lambda_0,m,n,-1}, \; \; \; \; \; \; \end{aligned} $

(80) where
$ i_{\lambda_0,m,n,-1} $ ,$ i_{\lambda_0,m,-1,q} $ , and$ i_{\lambda_0,-1,n,q} $ contribute to the sub-topology of the triangle, that is, the bubble⑰. -
Now, we apply the complete recurrence relation to the example
$ I_3(1,1,2) $ . Setting$ m = n = q = 0 $ in (78), we obtain$ \begin{eqnarray} c_{0,0,0}i_{\lambda_0,0,0,0}+c_{0,0,1}i_{\lambda_0,0,0,1}+\delta_{3;000}& =0,\; \; \; \end{eqnarray} $

(81) with the coefficients
$ \begin{aligned}[b] c_{0,0,1} = &\lambda_4 Q_{43;r} = -\frac{1}{-m_1^2+m_2^2+2 (p_1\cdot p_2)+p_1^2}\times\Big\{2 a_1 (D-4) \Big(m_1^4 p_2^2-2 m_1^2 \big(m_2^2 ((p_1\cdot p_2)+p_2^2)-m_3^2 (p_1\cdot p_2) \\ &+p_2^2 ((p_1\cdot p_2)+p_1^2)\big)+m_2^4 (2 (p_1\cdot p_2)+p_1^2+p_2^2)+m_2^2 \big(2 (p_1\cdot p_2) (2 (p_1\cdot p_2)+p_1^2+p_2^2) \\ &-2 m_3^2 ((p_1\cdot p_2)+p_1^2)\big)+p_1^2 (m_3^4-2 m_3^2 ((p_1\cdot p_2)+p_2^2)+p_2^2 (2 (p_1\cdot p_2)+p_1^2+p_2^2))\Big)\Big\}, \\ c_{0,0,0}= &-\frac{D}{2}+Q_{11;r}+Q_{22;r}+Q_{33;r}+(D-3)Q_{44;r} \\ = &-\frac{2 a_1 (D-4) \left(m_1^2 (p_1\cdot p_2)-m_2^2 ((p_1\cdot p_2)+p_1^2)+p_1^2 \left(m_3^2-(p_1\cdot p_2)-p_2^2\right)\right)}{-m_1^2+m_2^2+2 (p_1\cdot p_2)+p_1^2}.\; \; \; \; \; \; \end{aligned} $

(82) In (81), only two terms of triangle topology remain: one is the scalar basis, and the other is the target we want to reduce. The other five terms in (78) disappear owing to the expression in (79). Thus, there is no need to solve mixed IBP relations. The
$ \delta_{3} $ term becomes$ \begin{aligned}[b] \delta_{p;000}\equiv \delta_{p;r}|_{m = 0,n = 0,q = 0} = &Q_{14;r}i_{\lambda_0,-1,0,0}+Q_{12;r}i_{\lambda_0,-1,1,0}+Q_{13;r}i_{\lambda_0,-1,0,1} +Q_{21;r}i_{\lambda_0,1,-1,0}+Q_{24;r}i_{\lambda_0,0,-1,0}+Q_{23;r}i_{\lambda_0,0,-1,1} \\ &+Q_{31;r}i_{\lambda_0,1,0,-1}+Q_{32;r}i_{\lambda_0,0,1,-1}+Q_{34;r}i_{\lambda_0,0,0,-1}.\; \; \; \end{aligned} $

(83) Translating back to the I form, we obtain the result
$ \begin{aligned}[b] \\I_3(1,1,2)= &c_{3\to111}I_3(1,1,1)+c_{3\to110}I_3(1,1,0)+c_{3\to101}I_3(1,0,1)+c_{3\to011}I_3(0,1,1) \\ &c_{3\to210}I_3(2,1,0)+c_{3\to201}I_3(2,0,1)+c_{3\to120}I_3(1,2,0)+c_{3\to021}I_3(0,2,1) \\ &c_{3\to102}I_{3}(1,0,2)+c_{3\to012}I_3(0,1,2),\; \; \; \; \; \; \end{aligned} $

(84) with the coefficients
$ \begin{aligned}[b] c_{3\to111} = &\frac{c_{0,0,0}\Gamma(D-3)}{c_{0,0,1}\Gamma(D-4)},\quad c_{3\to110} = -\frac{Q_{34;r} \Gamma (D-2)}{c_{0,0,1} \Gamma (D-4)},\quad c_{3\to101} = -\frac{Q_{24;r} \Gamma (D-2)}{c_{0,0,1} \Gamma (D-4)},\quad c_{3\to011} = -\frac{Q_{14;r} \Gamma (D-2)}{c_{0,0,1} \Gamma (D-4)}, \\ c_{3\to210} = &\frac{Q_{31;r} \Gamma (D-3)}{c_{0,0,1} \Gamma (D-4)},\quad c_{3\to201} = \frac{Q_{21;r} \Gamma (D-3)}{c_{0,0,1} \Gamma (D-4)},\quad c_{3\to021} = \frac{Q_{12;r} \Gamma (D-3)}{c_{0,0,1} \Gamma (D-4)},\quad c_{3\to120} = \frac{Q_{32;r} \Gamma (D-3)}{c_{0,0,1} \Gamma (D-4)}, \\ c_{3\to102} = &\frac{Q_{23;r} \Gamma (D-3)}{c_{0,0,1} \Gamma (D-4)},\quad c_{3\to012} = \frac{Q_{13;r} \Gamma (D-3)}{c_{0,0,1} \Gamma (D-4)}. \; \; \; \; \; \; \end{aligned} $

(85) The final step is to reduce bubbles that have one propagator with the power two. This problem has been solved in the previous subsection (see (57)). With proper relabeling of the external variables of the last six terms in (84) and collecting all coefficients together, we get
$ \begin{aligned}[b] I_3(1,1,2) = &c_{3\to3}I_3(1,1,1)+c_{3\to2;\bar3}I_3(1,1,0)+c_{3\to2;\bar2}I_3(1,0,1)+c_{3\to2;\bar1}I_3(0,1,1) \\ &+c_{3\to1;\bar2\bar3}I_3(1,0,0)+c_{3\to1;\bar1\bar3}I_3(0,1,0)+c_{3\to1;\bar1\bar2}I_3(0,0,1).\; \; \; \; \; \; \end{aligned} $

(86) Because the explicit expressions of these coefficients are long, they are provided in the companion Mathematica notebook. The result is confirmed by FIRE6.
-
Similar to the bubble case, with different choices, we can obtain three IBP recurrence relations. In each of these relations, only one term has a propagator with a higher power. For simplicity, we label the IBP recurrence relation
$ eq_i $ , which shifts the propagator$ D_i $ . Now, we can use$ eq_{i} $ with$ i = 1,2,3 $ to calculate the general case for triangles. Let us denote$ \begin{aligned}[b] &eq_1:\Big(a_{1^+}1^++a_{1^+3^-}1^+3^-+a_{1^+2^-}1^+2^-+a_{3^-}3^-+a_{2^-}2^-+a_{1^-}1^-+a_{0}\Big)i_{\lambda_0,m,n,q}+\delta_{3;r,eq1} = 0, \\ &eq_2:\Big(b_{2^+}2^++b_{2^+3^-}2^+3^-+b_{1^-2^+}1^-2^++b_{3^-}3^-+b_{2^-}2^-+b_{1^-}1^-+b_{0}\Big)i_{\lambda_0,m,n,q}+\delta_{3;r,eq2} = 0, \\ &eq_3:\Big(c_{3^+}3^++c_{2^-3^+}2^-3^++c_{1^-3^+}1^-3^++c_{3^-}3^-+c_{2^-}2^-+c_{1^-}1^-+c_{0}\Big)i_{\lambda_0,m,n,q}+\delta_{3;r,eq3} = 0,\; \; \; \end{aligned} $

(87) where all coefficients have the same form as in (78). Combining these, we can reduce the general triangles. For example, for
$ I_3(2,2,3) $ , after setting$ m = 0 $ ,$ n = 1 $ , and$ q = 2 $ in$ eq_1 $ , we can reduce$ I_3(2,2,3) $ to$ I_3(1,1,3) $ ,$ I_3(1,2,2) $ ,$ I_3(1,2,3) $ ,$ I_3(2,1,3) $ ,$ I_3(2,2,2) $ and boundary terms, the general bubbles. Then, setting$ m = 0 $ ,$ n = 0 $ , and$ q = 2 $ in$ eq_1 $ , we can reduce$ I_3(2,1,3) $ to$ I_3(1,1,2) $ ,$ I_3(1,1,3) $ , and$ I_3(2,1,2) $ . After 12 steps, we get the result for the reduction in the triangle topology. The boundary terms involve bubbles and tadpoles, which have been dealt with in previous subsections. Finally, we can obtain all coefficients from$ I_3(2,2,3) $ to all scalar bases. -
The general form of a box is given by
$ I_4(n_1+1,n_2+1,n_3+1,n_4+1) = \int \frac{{\rm d}^{D}l}{D_1^{n_1+1}D_2^{n_2+1}D_3^{n_3+1}D_4^{n_4+1}},\; \; \; \; $

(88) with
$ \begin{eqnarray} D_1& = &l^2-m_1^2,\quad D_2 = (l-p_1)^2-m_2^2,\quad D_3 = (l-p_1-p_2)^2-m_3^2,\quad D_4 = (l+p_4)^2-m_4^2.\; \; \; \; \end{eqnarray} $

(89) The parametric form of
$ I_4(n_1+1,n_2+1,n_3+1,n_4+1) $ can be written as$ I_4(n_1+1,n_2+1,n_3+1,n_4+1)=\frac{i(-1)^{4+n_1+n_2+n_3+n_4}\Gamma(-\lambda_0)}{\Gamma(n_1+1)\Gamma(n_2+1)\Gamma(n_3+1)\Gamma(n_4+1)\Gamma(\lambda_5+1)}i_{\lambda_0;n_1,n_2,n_3,n_4}, $

(90) where
$ \begin{aligned}[b] i_{\lambda_0;n_1,n_2,n_3,n_4} = &\int {\rm d}\Pi^{(5)} F^{\lambda_0}x_1^{n_1}x_2^{n_2}x_3^{n_3}x_4^{n_4}x_5^{\lambda_5} = \int {\rm d}\Pi^{(5)} (Ux_5+f)^{\lambda_0}x_1^{n_1}x_2^{n_2}x_3^{n_3}x_4^{n_4}x_5^{\lambda_5} \\ {\rm d}\Pi^{(5)} = &{\rm d}x_1{\rm d}x_2{\rm d}x_3{\rm d}x_4{\rm d}x_5\delta(\sum x_j-1),\; \; \; \; \; \; \; \lambda_0 = -\frac{D}{2} \\ \lambda_5 = &-5-n_1-n_2-n_3-n_4-2\lambda_0 = D-5-n_1-n_2-n_3-n_4,\; \; \; \; \end{aligned} $

(91) and the functions are
$ \begin{aligned}[b] U(x) = &x_1+x_2+x_3+x_4, \\ V(x) = &x_1x_2p_1^2+x_1x_3(p_1+p_2)^2+x_1x_4(p_1+p_2+p_3)^2+x_2x_3p_2^2+x_2x_4(p_2+p_3)^2+x_3x_4p_3^2 \\ f(x)= &-V(x)+U(x)\sum m_i^2 x_i = m_1^2x_1+m_2^2x_2+m_3^2x_3+m_4^2x_4+(m_1^2+m_2^2-p_1^2)x_1x_2 \\ &+[m_1^2+m_3^2-(p_1+p_2)^2]x_1x_3+[m_1^2+m_4^2-(p_1+p_2+p_3)^2]x_1x_4, \\ &+(m_2^2+m_3^2-p_2^2)x_2x_3+[m_2^2+m_4^2-(p_2+p_3)^2]x_2x_4+(m_3^2+m_4^2-p_3^2)x_3x_4, \\ F(x) = &U(x) x_5+f(x) = m_1^2x_1^2+m_2^2x_2^2+m_3^2x_3^2+m_4^2x_4^2 \\ &+(m_1^2+m_2^2-p_1^2)x_1x_2+[m_1^2+m_3^2-(p_1+p_2)^2]x_1x_3+[m_1^2+m_4^2-(p_1+p_2+p_3)^2]x_1x_4 \\ &+[m_2^2+m_3^2-p_2^2]x_2x_3+[m_2^2+m_4^2-(p_2+p_3)^2]x_2x_4+[m_3^2+m_4^2-p_3^2]x_3x_4 \\ &+x_1x_5+x_2x_5+x_3x_5+x_4x_5 \\ = &(x_1+x_2+x_3+x_4)(m_1^2x_1+m_2^2x_2+m_3^2x_3+m_4^2x_4+x_5) \\ &-x_1x_2p_1^2-x_1x_3(p_1+p_2)^2-x_1x_4(p_1+p_2+p_3)^2-x_2x_3p_2^2-x_2x_4(p_2+p_3)^2-x_3x_4p_3^2. \end{aligned} $

(92) Now, the matrices are given by
$ \begin{eqnarray} \hat A& = &\left[\begin{array}{ccccc} 2m_1^2\; &m_1^2+m_2^2-p_1^2\; &m_1^2+m_3^2-p_{12}^2\; &m_1^2+m_4^2-p_{13}^2\; &1 \\ m_1^2+m_2^2-p_1^2\; &2m_2^2\; &m_2^2+m_3^2-p_2^2\; &m_2^2+m_4^2-p_{23}^2\; &1 \\ m_1^2+m_3^2-p_{12}^2\; &m_2^2+m_3^2-p_2^2\; &2m_3^2\; &m_3^2+m_4^2-p_3^2\; &1 \\ m_1^2+m_4^2-p_{13}^2\; &m_2^2+m_4^2-p_{23}^2\; &m_3^2+m_4^2-p_3^2\; &2m_4^2\; &1 \\ 1\; \; &1\; \; &1\; \; &1\; \; &0 \end{array}\right],\; \; K_A = \left[\begin{array}{ccccc} 0&a_1&a_2&a_3&a_4 \\ -a_1&0&a_5&a_6&a_7 \\ -a_2&-a_5&0&a_8&a_9\\ -a_3&-a_6&-a_8&0&a_{10} \\ -a_4&-a_7&-a_9&-a_{10}&0 \end{array}\right], \; \; \; \; \end{eqnarray} $

(93) where
$ p_{ij}\equiv p_i+p_{i+1}\cdots p_j $ . -
Taking
$ B = \dfrac{-1}{x_5} $ in (39), we get$ \begin{aligned}[b] &\Big\{c_{n_1+1,n_2,n_2,n_4}1^++c_{n_1+1,n_2,n_3,n_4-1}`^+4^-+c_{n_1+1,n_2,n_3-1,n_4}1^+3^-+c_{n_1+1,n_2-1,n_3,n_4}1^+2^- \\ &+c_{n_1,n_2+1,n_3,n_4}2^++c_{n_1,n_2+1,n_3,n_4-1}2^+4^-+c_{n_1,n_2+1,n_3-1,n_4}2^+3^-+c_{n_1-1,n_2+1,n_3,n_4}2^+1^- \\ &+c_{n_1,n_2,n_3+1,n_4}3^++c_{n_1,n_2,n_3+1,n_4-1}3^+4^-+c_{n_1,n_2-1,n_3+1,n_4}3^+2^-+c_{n_1-1,n_2,n_3+1,n_4}3^+1^- \\ &+c_{n_1,n_2,n_3,n_4+1}4^++c_{n_1,n_2,n_3-1,n_4+1}4^+3^-+c_{n_1,n_2-1,n_3,n_4+1}4^+2^-+c_{n_1-1,n_2,n_3,n_4+1}4^+1^- \\ &+c_{n_1,n_2,n_3,n_4-1}4^-+c_{n_1,n_2,n_3-1,n_4}3^-+c_{n_1,n_2-1,n_3,n_4}2^-+c_{n_1-1,n_2,n_3,n_4}1^-+c_{n_1,n_2,n_3,n_4} \Big\}i_{n_1,n_2,n_3,n_4}+\delta_{4} = 0,\; \; \; \\ \end{aligned} $

(94) where
$ \begin{eqnarray} j^+i_{n_1\cdots n_j\cdots n_k} = i_{n_1\cdots n_j+1\cdots n_k},\; \; \; \; \; j^-i_{n_1\cdots n_j\cdots n_k} = i_{n_1\cdots n_j-1\cdots n_k}.\; \; \; \; \end{eqnarray} $

(95) Similarly, we can choose particular values of the parameters
$ a_2 $ to$ a_{10} $ with a free$ a_1 $ to ensure the coefficients of the terms in the first three lines of (94) equal zero. The analytic solution is provided in the companion Mathematica notebook. Here, we can express the solution for the parameters using the matrix elements of$ \hat A $ .$ \begin{aligned}[b]& a_2 = \frac{-a_1}{\Delta_{\rm Box}}|\tilde A_{13,45}|,\; \; \; a_{3} = \frac{a_1}{\Delta_{\rm Box}}|\tilde A_{14,45}|,\; \; \; a_4 = \frac{-a_1}{\Delta_{\rm Box}}|\tilde A_{15,45}|,\; \; \; a_5 = \frac{a_1}{\Delta_{\rm Box}}|\tilde A_{23,45}|,\; \; \; a_6 = \frac{-a_1}{\Delta_{\rm Box}}|\tilde A_{24,45}|,\;\; a_{7} = \frac{a_1}{\Delta_{\rm Box}}|\tilde A_{25,45}|,\\& a_{8} = \frac{a_1}{\Delta_{\rm Box}}|\tilde A_{34,45}|,\; \; \; a_9 = \frac{-a_1}{\Delta_{\rm Box}}|\tilde A_{35,45}|,\; \; \; a_{10} = \frac{a_1}{\Delta_{\rm Box}}|\tilde A_{45,45}|,\;\; \Delta_{\rm Box} = \left|\begin{array}{ccc} A_{31}&A_{32}&A_{33} \nonumber \\ A_{41}&A_{42}&A_{43} \nonumber \\ A_{51}&A_{52}&A_{53} \end{array}\right|, \end{aligned}$

where
$ |\tilde A_{ij,kl}| $ represents the determinant of the matrix A after we removed the$ i,j $ th rows and$ k,l $ th columns. Then, the matrix$ \hat Q $ becomes$ \hat Q_{r} = \frac{1}{\Delta_{\rm Box}}\left[\begin{array}{ccccc} \dfrac{1}{2}\Delta_{\rm Box}&0&0&-a_1|\tilde A_{15}|&-a_1|\tilde A_{14}| \nonumber \\ 0&\dfrac{1}{2}\Delta_{\rm Box}&0&a_1|\tilde A_{25}|&a_1|\tilde A_{24}| \nonumber \\ 0&0&\dfrac{1}{2}\Delta_{\rm Box}&-a_{1}|\tilde A_{35}|&-a_{1}|\tilde A_{34}| \nonumber \\ 0&0&0&\dfrac{1}{2}\Delta_{\rm Box}+a_{1}|\tilde A_{45}|&a_1|\tilde A_{44}| \nonumber \\ 0&0&0&-a_1|\tilde A_{55}|&\dfrac{1}{2}\Delta_{\rm Box}-a_1|\tilde A_{54}| \end{array}\right]. $

We then obtain the simplified recurrence relation
$ \begin{aligned}[b] &c_{n_1,n_2,n_3,n_4+1}i_{n_1,n_2,n_3,n_4+1}+c_{n_1,n_2,n_3-1,n_4+1}i_{n_1,n_2,n_3-1,n_4+1} +c_{n_1,n_2-1,n_3,n_4+1}i_{n_1,n_2-1,n_3,n_4+1}+c_{n_1-1,n_2,n_3,n_4}i_{n_1-1,n_2,n_3,n_4} \\ &+c_{n_1,n_2,n_3,n_4-1}i_{n_1,n_2,n_3,n_4-1}+c_{n_1,n_2,n_3-1,n_4}i_{n_1,n_2,n_3-1,n_4} +c_{n_1,n_2-1,n_3,n_4}i_{n_1,n_2-1,n_3,n_4}+c_{n_1-1,n_2,n_3,n_4}i_{n_1-1,n_2,n_3,n_4} \\ &+c_{n_1,n_2,n_3,n_4}i_{n_1,n_2,n_3,n_4}+\delta_{4;r} = 0.\; \; \; \end{aligned} $

(96) Now, we must calculate the
$ \delta_{4} $ term.The reduction in the boundary
$ \delta_{4} $ term: Similar to the former case, we can expand the$ \delta_{4} $ term and take the values of the parameters$ a_2 $ to$ a_{10} $ into the$ \delta_{4} $ part. Subsequently, we get$ \begin{aligned}[b] \delta_{4;r} = &\delta_{n_1+1,0}Q_{11;r}i_{-1,n_2,n_3,n_4}+\delta_{n_1,0}Q_{12;r}i_{-1,n_2+1,n_3,n_4}+\delta_{n_1,0}Q_{13;r}i_{-1,n_2,n_3+1,n_4}+\delta_{n_1,0}Q_{14;r}i_{-1,n_2,n_3,n_4+1} \\ &+\delta_{n_1,0}Q_{15;r}i_{-1,n_2,n_3,n_4}+\delta_{n_2,0}Q_{21;r}i_{n_1+1,-1,n_3,n_4}+\delta_{n_2+1,0}Q_{22;r}i_{n_1,-1,n_3,n_4}+\delta_{n_2,0}Q_{23;r}i_{n_1,-1,n_3+1,n_4} \\ &+\delta_{n_2,0}Q_{24;r}i_{n_1,-1,n_3,n_4+1}+\delta_{n_2,0}Q_{25;r}i_{n_1,-1,n_3,n_4}+\delta_{n_3,0}Q_{31;r}i_{n_1+1,n_2,-1,n_4}+\delta_{n_3,0}Q_{32;r}i_{n_1,n_2+1,-1,n_4} \\ &+\delta_{n_3+1,0}Q_{33;r}i_{n_1,n_2,-1,n_4}+\delta_{n_3,0}Q_{34;r}i_{n_1,n_2,-1,n_4+1}+\delta_{n_3,0}Q_{35;r}i_{n_1,n_2,-1,n_4}+\delta_{n_4,0}Q_{41;r}i_{n_1+1,n_2,n_3,-1} \\ &+\delta_{n_4,0}Q_{42;r}i_{n_1,n_2+1,n_3,-1}+\delta_{n_4,0}Q_{43;r}i_{n_1,n_2,n_3+1,-1}+\delta_{n_4+1,0}Q_{44;r}i_{n_1,n_2,n_3,-1}+\delta_{n_4,0}Q_{45;r}i_{n_1,n_2,n_3,-1}, \end{aligned} $

(97) where the subscript "r" represents the value of the parameter Q after we set
$ a_2 $ to$ a_{10} $ . -
Now, we can use recurrence relation (96) to calculate the example
$ I_4(1,1,1,2) $ . Letting$ n_1 = n_2 = n_3 = n_4 = 0 $ , we get (the coefficients of the other terms are all zero)$ \begin{eqnarray} c_{0,0,0,0}i_{0,0,0,0}+c_{0,0,0,1}i_{0,0,0,1}+\delta_{4;0000}& = 0,\; \; \; \; \end{eqnarray} $

(98) where
$ \delta_{4;0000}\equiv \delta_{4;r}|_{n_1 = n_2 = n_3 = n_4 = 0} $ . Translating to I, we obtain the following result:$ \begin{aligned}[b] I_4(1,1,1,2) = &c_{4\to1111}I_4(1,1,1,1) +c_{4\to1110}I_4(1,1,1,0)+c_{4\to1101}I_4(1,1,0,1)+c_{4\to1011}I_4(1,0,1,1)+c_{4\to0111}I_4(0,1,1,1) \\ &+c_{4\to2110}I_4(2,1,1,0)+c_{4\to2101}I_4(2,1,0,1)+c_{4\to2011}I_4(2,0,1,1) +c_{4\to1210}I_4(1,2,1,0)+c_{4\to1201}I_4(1,2,0,1)\\ &+c_{4\to0211}I_4(0,2,1,1) +c_{4\to1120}I_4(1,1,2,0)+c_{4\to1021}I_4(1,0,2,1)+c_{4\to0121}I_4(0,1,2,1) \\ &+c_{4\to1102}I_4(1,1,0,2)+c_{4\to1012}I_4(1,0,1,2)+c_{4\to0112}I_4(0,1,1,2),\; \; \; \end{aligned} $

(99) with the coefficients
$ \begin{aligned}[b] c_{4\to1111} = &\frac{c_{0,0,0,0}}{c_{0,0,0,1}}(D-5) = \frac{{\rm Tr} \hat Q_{ij;r}+(D-5)Q_{55;r}-\frac{D}{2}}{Q_{54;r}}, \quad c_{4\to0111} =-\frac{Q_{15;r}\Gamma(D-3)}{c_{0,0,0,1}\Gamma(D-5)},\\ c_{4\to1011} =& -\frac{Q_{25;r}\Gamma(D-3)}{c_{0,0,0,1}\Gamma(D-5)}, \quad c_{4\to1101} = -\frac{Q_{35;r}\Gamma(D-3)}{c_{0,0,0,1}\Gamma(D-5)},\quad c_{4\to1110} = -\frac{Q_{45;r}\Gamma(D-3)}{c_{0,0,0,1}\Gamma(D-5)}, \\ c_{4\to0211} = &\frac{Q_{12;r}\Gamma(D-4)}{c_{0,0,0,1}\Gamma(D-5)},\quad c_{4\to0121} = \frac{Q_{13;r}\Gamma(D-4)}{c_{0,0,0,1}\Gamma(D-5)},\quad c_{4\to0112} = \frac{Q_{14;r}\Gamma(D-4)}{c_{0,0,0,1}\Gamma(D-5)}, \\ c_{4\to2011} = &\frac{Q_{21;r}\Gamma(D-4)}{c_{0,0,0,1}\Gamma(D-5)},\quad c_{4\to1021} = \frac{Q_{23;r}\Gamma(D-4)}{c_{0,0,0,1}\Gamma(D-5)},\quad c_{4\to1012} = \frac{Q_{24;r}\Gamma(D-4)}{c_{0,0,0,1}\Gamma(D-5)}, \\ c_{4\to2101} = &\frac{Q_{31;r}\Gamma(D-4)}{c_{0,0,0,1}\Gamma(D-5)},\quad c_{4\to1201} = \frac{Q_{32;r}\Gamma(D-4)}{c_{0,0,0,1}\Gamma(D-5)},\quad c_{4\to1102} = \frac{Q_{34;r}\Gamma(D-4)}{c_{0,0,0,1}\Gamma(D-5)}, \\ c_{4\to2110} = &\frac{Q_{41;r}\Gamma(D-4)}{c_{0,0,0,1}\Gamma(D-5)},\quad c_{4\to1210} = \frac{Q_{42;r}\Gamma(D-4)}{c_{0,0,0,1}\Gamma(D-5)},\quad c_{4\to1120} = \frac{Q_{43;r}\Gamma(D-4)}{c_{0,0,0,1}\Gamma(D-5)}. \end{aligned} $

(100) Next, we must use the reduction in triangles with one double propagator given in (86). Inserting them into (99), we obtain the complete reduction in the box
$ I_4(1,1,1,2) $ .$ \begin{aligned}[b] I_4(1,1,1,2) =& c_{4\to4}I_4(1,1,1,1) +c_{4\to3;\bar1}I_4(0,1,1,1)+c_{4\to3;\bar2}I_4(1,0,1,1)+c_{4\to3;\bar3}I_4(1,1,0,1)\\ &+c_{4\to3;\bar4}I_4(1,1,1,0) +c_{4\to2;\bar1\bar2}I_4(0,0,1,1)+c_{4\to2;\bar1\bar3}I_4(0,1,0,1)+c_{4\to2;\bar1\bar4}I_4(0,1,1,0) \\ &+c_{4\to2;\bar2\bar3}I_4(1,0,0,1)+c_{4\to2;\bar2\bar4}I_4(1,0,1,0)+c_{4\to2;\bar3\bar4}I_4(1,1,0,0) \\ &+c_{4\to1;D_1}I_4(1,0,0,0)+c_{4\to1;D_2}I_4(0,1,0,0)+c_{4\to1;D_3}I_4(0,0,1,0)+c_{4\to1;D_4}I_4(0,0,0,1),\; \; \; \; \end{aligned} $

(101) the long coefficient expressions of which are given in the companion Mathematica notebook. The result is confirmed by FIRE6.
-
The general form of a pentagon is given by
$ \begin{eqnarray} I_5(n_1+1,n_2+1,n_3+1,n_4+1,n_5+1) = \int \frac{{\rm d}^{D}l}{D_1^{n_1+1}D_2^{n_2+1}D_3^{n_3+1}D_4^{n_4+1}D_5^{n_5+1}}\; \; \; \; \; \end{eqnarray} $

(102) with
$ \begin{aligned}[b] D_1 = l^2-m_1^2,\; \; \; \; D_2 = (l-p_1)^2-m_2^2,\; \; \; \; D_3 = (l-p_1-p_2)^2-m_3^2, \quad D_4 = (l-p_1-p_2-p_3)^2-m_4^2,\; \; \; D_5 = (l+p_5)^2-m_5^2.\; \; \; \; \; \end{aligned} $

(103) The parametric form of
$ I_5(n_1+1,n_2+1,n_3+1,n_4+1,n_5+1) $ can be written as$ I_5(n_1+1,n_2+1,n_3+1,n_4+1,n_5+1) = \frac{i(-1)^{5+n_1+n_2+n_3+n_4+n_5}\Gamma(-\lambda_0)}{\displaystyle\sum_{i = 1}^5 \Gamma(n_i+1)\Gamma(\lambda_6+1)}i_{\lambda_0;n_1,n_2,n_3,n_4,n_5}, $

(104) where
$ \begin{aligned}[b] i_{\lambda_0;n_1,n_2,n_3,n_4,n_5} = &\int {\rm d}\Pi^{(6)} F^{\lambda_0}x_1^{n_1}x_2^{n_2}x_3^{n_3}x_4^{n_4}x_5^{n_5}x_6^{\lambda_6+1}, \\ {\rm d}\Pi^{(5)}= &{\rm d}x_1{\rm d}x_2{\rm d}x_3{\rm d}x_4{\rm d}x_5{\rm d}x_6\delta(\sum x_j-1), \\ \lambda_0 = &-\frac{D}{2},\; \; \; \; \lambda_6 = (D-6)-n_1-n_2-n_3-n_4-n_5,\end{aligned} $

(105) and the function
$ \begin{aligned}[b] U(x) = &x_1+x_2+x_3+x_4+x_5, \\ V(x) = &x_1x_2p_1^2+x_1x_3p_{12}^2+x_1x_4p_{13}^2+x_1x_5p_{14}^2 +x_2x_3p_2^2+x_2x_4p_{23}^2+x_2x_5p_{24}^2+x_3x_4p_3^2+x_3x_5p_{34}^2+x_4x_5p_4^2, \\ f(x) = &(x_1+x_2+x_3+x_4+x_5)(m_1^2x_1+m_2^2x_2+m_3^2x_3+m_4^2x_4+m_5^2x_5) -x_1x_2p_1^2-x_1x_3p_{12}^2-x_1x_4p_{13}^2-x_1x_5p_{14}^2\\ &-x_2x_3p_2^2-x_2x_4p_{23}^2-x_2x_5p_{24}^2 -x_3x_4p_3^2-x_3x_5p_{34}^2-x_4x_5p_4^2, \\ F(x) = &(x_1+x_2+x_3+x_4+x_5)(m_1^2x_1+m_2^2x_2+m_3^2x_3+m_4^2x_4+m_5^2x_5+x_6) -x_1x_2p_1^2-x_1x_3p_{12}^2-x_1x_4p_{13}^2\\ &-x_1x_5p_{14}^2-x_2x_3p_2^2-x_2x_4p_{23}^2-x_2x_5p_{24}^2 -x_3x_4p_3^2-x_3x_5p_{34}^2-x_4x_5p_4^2,\; \; \; \; \; \end{aligned} $

(106) where
$ p_{ij}\equiv p_i+p_{i+1}+\cdots p_{j-1}+p_{j} $ . Now the matrix are given by$ \begin{eqnarray} \hat A = \left[\begin{array}{cccccc} 2m_1^2&m_1^2+m_2^2-p_1^2&m_1^2+m_3^2-p_{12}^2&m_1^2+m_4^2-p_{13}^2&m_1^2+m_5^2-p_1^2&1 \nonumber \\ m_1^2+m_2^2-p_1^2&2m_2^2&m_2^2+m_3^2-p_2^2&m_2^2+m_4^2-p_{23}^2&m_2^2+m_5^2-p_{24}^2&1 \nonumber \\ m_1^2+m_3^2-p_{12}^2&m_2^2+m_3^2-p_{23}^2&2m_3^2&m_3^2+m_4^2-p_3^2&m_3^2+m_5^2-p_{34}^2&1 \nonumber \\ m_1^2+m_4^2-p_{13}^2&m_2^2+m_4^2-p_{23}^2&m_3^2+m_4^2-p_3^2&2m_4^2&m_4^2+m_5^2-p_4^2&1 \nonumber \\ m_1^2+m_5^2-p_1^2&m_2^2+m_5^2-p_{24}^2&m_3^2+m_5^2-p_{34}^2&m_4^2+m_5^2-p_4^2&2m_5^2&1 \nonumber \\ 1&1&1&1&1&0 \end{array}\right], \end{eqnarray} $

(107) $ \begin{eqnarray} \hat K_A = \left[ \begin{array}{cccccc} 0&a_1&a_2&a_3&a_4&a_5 \\ -a_1&0&a_6&a_7&a_8&a_9 \\ -a_2&-a_6&0&a_{10}&a_{11}&a_{12} \\ -a_3&-a_7&-a_{10}&0&a_{13}&a_{14} \\ -a_4&-a_8&-a_{11}&-a_{13}&0&a_{15} \\ -a_5&-a_9&-a_{12}&-a_{14}&-a_{15}&0 \end{array} \right]. \; \; \; \; \; \end{eqnarray} $

(107) Taking
$ B = -{1}/{x_6} $ , and inserting$ z_i $ into the IBP identities,$ \begin{eqnarray} \sum_{i = 1}^{6}\int \frac{{{\partial }}}{{{\partial }} x_i }\Big\{z_iF^{\lambda_0}x_1^{n_1}x_2^{n_2}x_3^{n_3}x_4^{n_4}x_5^{n_5}x_6^{\lambda_6+1}\Big\}+\delta_{5}& = &0,\; \; \; \; \; \end{eqnarray} $

(108) where
$ \delta_{5} $ is given by$ \begin{eqnarray} \delta_{5} = \sum_{i = 1}^{5}\delta_{\lambda_i,0}\int {\rm d}\Pi^{(5)} \Big\{z_iF^{\lambda_0}x_1^{n_1}x_2^{n_2}x_3^{n_3}x_4^{n_4}x_5^{n_5}x_6^{\lambda_6+1}\Big\}|_{x_i = 0}.\; \; \; \end{eqnarray} $

(109) -
Similar to the previous subsections, by expanding the IBP relation, we get
$ \begin{aligned}[b] &\Big\{c_{n_1+1,n_2,n_3,n_4,n_5}1^++c_{n_1+1,n_2-1,n_3,n_4,n_5}1^+2^-+c_{n_1+1,n_2,n_3-1,n_4,n_5}1^+3^-+c_{n_1+1,n_2,n_3,n_4-1,n_5}1^+4^- \\ &+c_{n_1+1,n_2,n_3,n_4,n_5-1}1^+5^-+c_{n_1,n_2+1,n_3,n_4,n_5}2^+ +c_{n_1-1,n_2+1,n_3,n_4,n_5}1^-2^+ +c_{n_1,n_2+1,n_3-1,n_4,n_5}2^+3^- \\ & +c_{n_1,n_2+1,n_3,n_4-1,n_5} 2^+ 4^- +c_{n_1,n_2+1,n_3,n_4,n_5-1} 2^+ 5^-+c_{n_1,n_2,n_3+1,n_4,n_5}3^+ +c_{n_1-1,n_2,n_3+1,n_4,n_5}1^- 3^+ \\& +c_{n_1,n_2-1,n_3+1,n_4,n_5}2^- 3^+ +c_{n_1,n_2,n_3+1,n_4-1,n_5}3^+4^- +c_{n_1,n_2,n_3+1,n_4,n_5-1}3^+5^-+c_{n_1,n_2,n_3,n_4+1,n_5}4^+ \\ &+c_{n_1-1,n_2,n_3,n_4+1,n_5}1^-4^+ +c_{n_1,n_2-1,n_3,n_4+1,n_5}2^- 4^+ +c_{n_1,n_2,n_3-1,n_4+1,n_5} 3^-4^++c_{n_1,n_2,n_3,n_4+1,n_5-1} 4^+5^- \\ &+c_{n_1,n_2,n_3,n_4,n_5+1}5^++c_{n_1-1,n_2,n_3,n_4,n_5+1}1^-5^+ +c_{n_1,n_2-1,n_3,n_4,n_5+1}2^-5^+ +c_{n_1,n_2,n_3-1,n_4,n_5+1}3^- 5^+ \\ &+c_{n_1,n_2,n_3,n_4-1,n_5+1} 4^- 5^++c_{n_1-1,n_2,n_3,n_4,n_5}1^-+c_{n_1,n_2-1,n_3,n_4,n_5}2^-+c_{n_1,n_2,n_3-1,n_4,n_5}3^- \\ &+c_{n_1,n_2,n_3,n_4-1,n_5} 4^- +c_{n_1,n_2,n_3,n_4,n_5-1}5^-+c_{n_1,n_2,n_3,n_4,n_5}\Big\}i_{n_1,n_2,n_3,n_4,n_5}+\delta_{5} = 0.\; \; \; \end{aligned} $

(110) We can choose particular values for parameters
$ a_2 $ to$ a_{15} $ to ensure the coefficients of the first three line of (110) equal zero. The solution is$ \begin{aligned}[b] a_2 = &\frac{-a_1}{\Delta_{\rm pen}}|\tilde A_{13,56}|,\; \; a_3 = \frac{a_1}{\Delta_{\rm pen}}|\tilde A_{14,56}|,\; \; a_4 = \frac{-a_1}{\Delta_{\rm pen}}|\tilde A_{15,56}|,\; \; a_5 = \frac{a_1}{\Delta_{\rm \rm pen}}|\tilde A_{16,56}|,\; \; a_6 = \frac{a_1}{\Delta_{\rm pen}}|\tilde A_{23,56}|, \\ a_7 = &\frac{-a_1}{\Delta_{\rm pen}}|\tilde A_{24,56}|,\; \; a_8 = \frac{a_1}{\Delta_{\rm pen}}|\tilde A_{25,56}|,\; \; a_9 = \frac{-a_1}{\Delta_{\rm pen}}|\tilde A_{26,56}|,\; \; a_{10} = \frac{a_1}{\Delta_{\rm pen}}|\tilde A_{34,56}|,\; \; a_{11} = \frac{-a_{1}}{\Delta_{\rm pen}}|\tilde A_{35,56}|, \\ a_{12} = &\frac{a_1}{\Delta_{\rm pen}}|\tilde A_{36,56}|,\; \; a_{13} = \frac{a_1}{\Delta_{\rm pen}}|\tilde A_{45,56}|,\; \; a_{14} = \frac{-a_1}{\Delta_{\rm pen}}|\tilde A_{46,56}|,\; \; a_{15} = \frac{a_1}{\Delta_{\rm pen}}|\tilde A_{56,56}|, \end{aligned} $

(111) where
$ \Delta_{\rm pen} = \left|\begin{array}{cccc} A_{31}&A_{32}&A_{33}&A_{34} \nonumber \\ A_{41}&A_{42}&A_{43}&A_{44} \nonumber \\ A_{51}&A_{52}&A_{53}&A_{54} \nonumber \\ A_{61}&A_{62}&A_{63}&A_{64} \end{array}\right|. $

Subsequently, we get
$ \begin{aligned}[b] &\Big\{c_{n_1,n_2,n_3,n_4,n_5+1;r}5^++c_{n_1-1,n_2,n_3,n_4,n_5+1;r}1^-5^+ +c_{n_1,n_2-1,n_3,n_4,n_5+1;r}2^-5^+ +c_{n_1,n_2,n_3-1,n_4,n_5+1;r}3^- 5^+ \\ &+c_{n_1,n_2,n_3,n_4-1,n_5+1;r} 4^- 5^+c_{n_1-1,n_2,n_3,n_4,n_5;r}1^-+c_{n_1,n_2-1,n_3,n_4,n_5;r}2^-+c_{n_1,n_2,n_3-1,n_4,n_5;r}3^- \\ &+c_{n_1,n_2,n_3,n_4-1,n_5;r} 4^- +c_{n_1,n_2,n_3,n_4,n_5-1;r}5^-+c_{n_1,n_2,n_3,n_4,n_5;r}\Big\}i_{\lambda_0;n_1,n_2,n_3,n_4,n_5}+\delta_{5;r} = 0,\; \; \; \; \; \; \; \; \; \; \end{aligned} $

(112) where we define
$ \begin{aligned}[b] i^+i_{\lambda_0;n_1,n_2,n_3,n_4,n_5}\equiv i_{\lambda_0;n_1,\cdots n_i+1,\cdots n_5}, \quad\quad i^-i_{\lambda_0;n_1,n_2,n_3,n_4,n_5}\equiv i_{\lambda_0;n_1,\cdots n_i-1,\cdots n_5}, \end{aligned} $

(113) with the coefficients
$ \begin{aligned}[b] c_{0,0,0,0,1} = &Q_{65;r}\lambda_6,\; \; c_{-1,0,0,0,1} = n_1Q_{15;r},\; \; c_{0,-1,0,0,1} = n_2Q_{25;r},\; \; c_{0,0,-1,0,1} = n_3Q_{35;r},\; \; c_{0,0,0,-1,1} = n_4Q_{45;r}, \\ c_{-1,0,0,0,0} = &n_1Q_{16;r},\; \; c_{0,-1,0,0,0} = n_2Q_{26;r},\; \; c_{0,0,-1,0,0} = n_3Q_{36;r},\; \; c_{0,0,0,-1,0} = n_4Q_{46;r},\; \; c_{0,0,0,0,-1} = n_5Q_{56;r}, \\ c_{00000;r} = & {\rm Tr} \hat Q_{ij;r} +((D-6))Q_{66;rr}-\frac{D}{2}+n_1Q_{11;r}+n_2Q_{22;r}+n_3Q_{33;r}+n_4Q_{44;r}+n_5Q_{55;r}, \end{aligned} $

(114) while the matrix
$ \hat Q $ becomes$ \hat Q_{r} = \frac{1}{\Delta_{\rm pen}}\left[\begin{array}{cccccc} \dfrac{1}{2}\Delta_{\rm pen}&0&0&0&a_1|\tilde A_{1,6}|&a_1|\tilde A_{1,5}| \nonumber \\ 0&\dfrac{1}{2}\Delta_{\rm pen}&0&0&-a_1|\tilde A_{2,6}|&-a_1|\tilde A_{2,5}| \nonumber \\ 0&0&\dfrac{1}{2}\Delta_{\rm pen}&0&a_1|\tilde A_{3,6}|&a_1|\tilde A_{3,5}| \nonumber \\ 0&0&0&\dfrac{1}{2}\Delta_{\rm pen}&-a_1|\tilde A_{4,6}|&-a_1|\tilde A_{4,5}| \nonumber \\ 0&0&0&0&\dfrac{1}{2}\Delta_{\rm pen}+a_1|\tilde A_{5,6}|&a_1|\tilde A_{5,5}| \nonumber \\ 0&0&0&0&-a_1|\tilde A_{6,6}|&\dfrac{1}{2}\Delta_{\rm pen}-a_1|\tilde A_{6,5}| \end{array}\right]. $

-
Similar to the former situation, the
$ \delta_{6;r} $ term is given by$ \begin{aligned}[b] \delta_{5;r}= &Q_{11;r}\delta_{n_1,-1}i_{-1,n_2,n_3,n_4,n_5} +Q_{12;r}\delta_{n_1,0}i_{-1,n_2+1,n_3,n_4,n_5}+Q_{13;r}\delta_{n_1,0}i_{-1,n_2,n_3+1,n_4,n_5} +Q_{14;r}\delta_{n_1,0}i_{-1,n_2,n_3,n_4+1,n_5} +Q_{15;r}\delta_{n_1,0}i_{-1,n_2,n_3,n_4,n_5+1}\\ &+Q_{16;r}\delta_{n_1,0}i_{-1,n_2,n_3,n_4,n_5} +Q_{21;r}\delta_{n_2,0}i_{n_1+1,-1,n_3,n_4,n_5}+Q_{22;r}\delta_{n_2,-1}i_{n_1,-1,n_2,n_3,n_4,n_5}+Q_{23;r}\delta_{n_2,0}i_{n_1,-1,n_3+1,n_4,n_5} +Q_{24;r}\delta_{n_2,0}i_{n_1,-1,n_3,n_4+1,n_5}\\ &+Q_{25;r}\delta_{n_2,0}i_{n_1,-1,n_3,n_4,n_5+1}+Q_{26;r}\delta_{n_2,0}i_{n_1,-1,n_3,n_4,n_5} +Q_{31;r}\delta_{n_3,0}i_{n_1+1,n_2,-1,n_4,n_5}Q_{32;r}\delta_{n_3,0}i_{n_1,n_2+1,-1,n_4,n_5}+Q_{33;r}\delta_{n_3,-1}i_{n_1,n_2,-1,n_4,n_5} \\ &+Q_{34;r}\delta_{n_3,0}i_{n_1,n_2,-1,n_4+1,n_5}+Q_{35;r}\delta_{n_3,0}i_{n_1,n_2,-1,n_4,n_5+1}+Q_{36;r}\delta_{n_3,0}i_{n_1,n_2,-1,n_4,n_5} Q_{41;r}\delta_{n_4,0}i_{n_1+1,n_2,n_3,-1,n_5}+Q_{42;r}\delta_{n_4,0}i_{n_1,n_2+1,n_3,-1,n_5}\\ &+Q_{43;r}\delta_{n_4,0}i_{n_1,n_2,n_3+1,-1,n_5} +Q_{44;r}\delta_{n_4,-1}i_{n_1,n_2,n_3,-1,n_5}+Q_{45;r}\delta_{n_4,0}i_{n_1,n_2,n_3,-1,n_5+1}+Q_{46;r}\delta_{n_4,0}i_{n_1,n_2,n_3,-1,n_5} +Q_{51;r}\delta_{n_5,0}i_{n_1+1,n_2,n_3,n_4,-1}\\ &+Q_{52;r}\delta_{n_5,0}i_{n_1,n_2+1,n_3,n_4,-1}+Q_{53;r}\delta_{n_5,0}i_{n_1,n_2,n_3+1,n_4,-1} +Q_{54;r}\delta_{n_5,0}i_{n_1,n_2,n_3,n_4+1,-1}+Q_{55;r}\delta_{n_5,-1}i_{n_1,n_2,n_3,n_4,-1}+Q_{56;r}\delta_{n_5,0}i_{n_1,n_2,n_3,n_4,n_5}. \end{aligned} $

(115) -
Setting
$ n_1 = n_2 = n_3 = n_4 = n_5 = 0 $ , we get the IBP recurrence relation (other coefficients are all zero)$ \begin{eqnarray} &&c_{0,0,0,0,1}i_{\lambda_0;0,0,0,0,1}+c_{0,0,0,0,0}i_{\lambda_0;0,0,0,0,0}+\delta_{5;00000} = 0, \\ \end{eqnarray} $

(116) where
$ \delta_{5;00000}\equiv \delta_{5;r}|_{n_1 = n_2 = n_3 = n_4 = n_5 = 0} $ .Comparing them with our scalar basis, we have the result
$ \begin{aligned}[b] I_5(1,1,1,1,2) = &c_{5\to5}I_5(1,1,1,1,1)+c_{5\to01111}I_4(0,1,1,1,1)+c_{5\to10111}I_5(1,0,1,1,1) \\ &+c_{5\to11011}I_5(1,1,0,1,1)+c_{5\to11101}I_5(1,1,1,0,1)+c_{5\to11110}I_5(1,1,1,1,0) \\ &+c_{5\to20111}I_5(2,0,1,1,1)+c_{5\to21011}I_5(2,1,0,1,1)+c_{5\to21101}I_5(2,1,1,0,1) \end{aligned} $

$ \begin{aligned}[b]\quad\quad &+c_{5\to21110}I_5(2,1,1,1,0)+c_{5\to02111}I_5(0,2,1,1,1)+c_{5\to12011}I_5(1,2,0,1,1) \\ &+c_{5\to12101}I_5(1,2,1,0,1)+c_{5\to12110}I_5(1,2,1,1,0)+c_{5\to01211}I_5(0,1,2,1,1) \\ &+c_{5\to10211}I_5(1,0,2,1,1)+c_{5\to11201}I_5(1,1,2,0,1)+c_{5\to11210}I_5(1,1,2,1,0) \\ &+c_{5\to01121}I_5(0,1,1,2,1)+c_{5\to10121}I_5(1,0,1,2,1)+c_{5\to11021}I_5(1,1,0,2,1) \\ &+c_{5\to11120}I_5(1,1,1,2,0)+c_{5\to01112}I_5(0,1,1,1,2)+c_{5\to10112}I_5(1,0,1,1,2) \\ &+c_{5\to11012}I_5(1,1,0,1,2)+c_{5\to11102}I_5(1,1,1,0,2), \end{aligned} $

(117) with the coefficients
$ \begin{aligned}[b] c_{5\to5} = &\frac{(D-6)c_{0,0,0,0,0}}{c_{0,0,0,0,1}},\; \; c_{5\to01111} = \frac{(D-6)(5-D)Q_{16;r}}{c_{0,0,0,0,1}},\; \; c_{5\to4;10111} = \frac{(D-6)(5-D)Q_{26;r}}{c_{0,0,0,0,1}}, \\ c_{5\to4;11011} = &\frac{(D-6)(5-D)Q_{36;r}}{c_{0,0,0,0,1}},\; \; c_{5\to4;11101} = \frac{(D-6)(5-D)Q_{46;r}}{c_{0,0,0,0,1}},\; \; c_{5\to4;11110} = \frac{(D-6)(5-D)Q_{56;r}}{c_{0,0,0,0,1}}, \\ c_{5\to20111} = &\frac{(D-6)Q_{21;r}}{c_{0,0,0,0,1}},\; \; c_{5\to21011} = \frac{(D-6)Q_{31;r}}{c_{0,0,0,0,1}},\; \; c_{5\to21101} = \frac{(D-6)Q_{41;r}}{c_{0,0,0,0,1}},\; \; c_{5\to21110} = \frac{(D-6)Q_{51;r}}{c_{0,0,0,0,1}}, \\ c_{5\to02111} = &\frac{(D-6)Q_{12;r}}{c_{0,0,0,0,1}},\; \; c_{5\to12011} = \frac{(D-6)Q_{32;r}}{c_{0,0,0,0,1}},\; \; c_{5\to12101} = \frac{(D-6)Q_{42;r}}{c_{0,0,0,0,1}},\; \; c_{5\to12110} = \frac{(D-6)Q_{52;r}}{c_{0,0,0,0,1}}, \\ c_{5\to01211} = &\frac{(D-6)Q_{13;r}}{c_{0,0,0,0,1}},\; \; c_{5\to10211} = \frac{(D-6)Q_{23;r}}{c_{0,0,0,0,1}},\; \; c_{5\to11201} = \frac{(D-6)Q_{43;r}}{c_{0,0,0,0,1}},\; \; c_{5\to11210} = \frac{(D-6)Q_{53;r}}{c_{0,0,0,0,1}}, \\ c_{5\to01121} = &\frac{(D-6)Q_{14;r}}{c_{0,0,0,0,1}},\; \; c_{5\to10121} = \frac{(D-6)Q_{24;r}}{c_{0,0,0,0,1}},\; \; c_{5\to11021} = \frac{(D-6)Q_{34;r}}{c_{0,0,0,0,1}},\; \; c_{5\to11120} = \frac{(D-6)Q_{54;r}}{c_{0,0,0,0,1}}, \\ c_{5\to01112} = &\frac{(D-6)Q_{15;r}}{c_{0,0,0,0,1}},\; \; c_{5\to10112} = \frac{(D-6)Q_{25;r}}{c_{0,0,0,0,1}},\; \; c_{5\to11012} = \frac{(D-6)Q_{35;r}}{c_{0,0,0,0,1}},\; \; c_{5\to11102} = \frac{(D-6)Q_{45;r}}{c_{0,0,0,0,1}}. \\ \end{aligned} $

(118) The final step is to reduce the coefficients of the general boxes to the scalar basis.
After this reduction, we obtain the final solution.
$ \begin{aligned}[b] I_{5}(1,1,1,1,2) = &c_{5\to5}I_5(1,1,1,1,1)+c_{5\to4;\bar1}I_5(0,1,1,1,1)+c_{5\to4;\bar2}I_5(1,0,1,1,1)+c_{5\to4;\bar3}I_5(1,1,0,1,1) \\ &+c_{5\to4;\bar4}I_5(1,1,1,0,1)+c_{5\to4;\bar5}I_5(1,1,1,1,0)+c_{5\to3;\bar1\bar2}I_5(0,0,1,1,1)+c_{5\to3;\bar1\bar3}I_5(0,1,0,1,1) \\ &+c_{5\to3;\bar1\bar4}I_5(0,1,1,0,1)+c_{5\to3;\bar1\bar5}I_5(0,1,1,1,0)+c_{5\to3;\bar2\bar3}I_5(1,0,0,1,1)+c_{5\to3;\bar2\bar4}I_5(1,0,1,0,1) \\ &+c_{5\to3;\bar2\bar5}I_5(1,0,1,1,0)c_{5\to3;\bar3\bar4}I_5(1,1,0,0,1)+c_{5\to3;\bar3\bar5}I_5(1,1,0,1,0)+c_{5\to3;\bar4\bar5}I_5(1,1,1,0,0) \\ &+c_{5\to2;D_1D_2}I_5(1,1,0,0,0)+c_{5\to2;D_1D_3}I_5(1,0,1,0,0)+c_{5\to2;D_1D_4}I_5(1,0,0,1,0)+c_{5\to2;D_1D_5}I_5(1,0,0,0,1) \\ &+c_{5\to2;D_2D_3}I_5(0,1,1,0,0)+c_{5\to2;D_2D_4}I_5(0,1,0,1,0)+c_{5\to2;D_2D_5}I_5(0,1,0,0,1)+c_{5\to2;D_3D_4}I_5(0,0,1,1,0) \\ &+c_{5\to2;D_3D_5}I_5(0,0,1,0,1)+c_{5\to2;D_4D_5}I_5(0,0,0,1,1)+c_{5\to1;D_1}I_5(1,0,0,0,0)+c_{5\to1;D_2}I_5(0,1,0,0,0) \\ &+c_{5\to1;D_3}I_5(0,0,1,0,0)+c_{5\to1;D_4}I_5(0,0,0,1,0)+c_{5\to1;D_5}I_5(0,0,0,0,1), \end{aligned} $

(119) with the coefficients given in the attached Mathematica notebook. Now, all coefficients are complete.
-
The analytic results are provided in the Mathematica notebooks, which are publicly available at https://github.com/Wanghongbin123/oneloop_parametric.
-
In this paper, we consider one-loop scalar integrals in the parametric representation given by Chen. However, in the recurrence relation, there are typically several terms that we do not want as well as terms with dimensional shifting in general, which makes calculations difficult and inefficient. In Chen's later paper [2], he used a method based on non-commutative algebra to cancel the dimension shift. Unlike other methods, the one-loop case involves a straightforward method in which linear equation systems are solved to simplify the IBP recurrence relation in the parametric representation. Benefiting from the fact that F is a homogeneous function of
$ x_i $ with a degree of two in the one-loop situation, we can solve$ x_i $ using$ {{{\partial }} F}/{{{\partial }} x_i} $ with several free parameters. Then, combining all the IBP identities with a particular factor$ z_i $ and choosing particular values for the free parameters, we succeed in canceling the dimension shift and terms with higher total power. As a complement to the tadpole coefficients of the reduction explored within our previous paper, we calculate several examples and provide an analytic result of the reduction.For further research, there are several factors to be considered. In our calculations, the constructed coefficients
$ z_i $ are not polynomial since they have a denominator with the form$ x_{n+1}^{{\gamma}} $ ; therefore, we cannot directly use the technique of syzygy. Moreover, the application of Chen's method to a higher loop is definitely another future research direction. For this case, the homogeneous function$ F(x) $ is of degree$ L+1 $ , where L is the number of loops. For the high loop case, we should consider how to construct the coefficients$ z_i $ efficiently and find a relation similar to (37) to cancel the terms we do not need. Finally, the sub-topologies are entirely decided by the boundary term in the parametric representation, which may lead to simplification of calculation. -
I would like to thank Bo Feng for the inspiring discussion and guidance.
General one-loop reduction in generalized Feynman parametrization form
- Received Date: 2022-04-19
- Available Online: 2022-10-15
Abstract: The search for an effective reduction method is one of the main topics in higher loop computation. Recently, an alternative reduction method was proposed by Chen in [





Abstract
HTML
Reference
Related
PDF













DownLoad: