2025 Vol. 49, No. 2
Display Method: |
2025, 49(2): 023001. doi: 10.1088/1674-1137/ad8baf
Abstract:
In this study, we employed the heavy quark expansion model with the kinetic scheme to evaluate\begin{document}$ \alpha_S(m_c^2) $\end{document} ![]()
![]()
, the strong coupling constant at the charm quark mass \begin{document}$ m_c $\end{document} ![]()
![]()
, using data on inclusive semileptonic decays of charmed mesons. Using the experimental values of the semileptonic decay widths of the \begin{document}$ D^0 $\end{document} ![]()
![]()
and the \begin{document}$ D^+ $\end{document} ![]()
![]()
, the value of \begin{document}$ \alpha_{s}(m_c^{2}) $\end{document} ![]()
![]()
was determined to be \begin{document}$ 0.445\pm0.009\pm0.114 $\end{document} ![]()
![]()
, where the first uncertainty is experimental and the second is systematic. This value of \begin{document}$ \alpha_{s}(m_c^{2}) $\end{document} ![]()
![]()
is in good agreement with the value of \begin{document}$ \alpha_{s}(m_c^{2}) $\end{document} ![]()
![]()
which calculated by running \begin{document}$ \alpha_S(m_Z^2) $\end{document} ![]()
![]()
at the \begin{document}$ Z^0 $\end{document} ![]()
![]()
boson mass \begin{document}$ m_Z $\end{document} ![]()
![]()
with the renormalization group evolution equation. In addition, the values of \begin{document}$ \alpha_{s}(m_c^{2}) $\end{document} ![]()
![]()
obtained individually from each of the \begin{document}$ D^0 $\end{document} ![]()
![]()
, \begin{document}$ D^+ $\end{document} ![]()
![]()
, and \begin{document}$ D_s^+ $\end{document} ![]()
![]()
mesons were consistent, as they were of the same origin.
In this study, we employed the heavy quark expansion model with the kinetic scheme to evaluate
2025, 49(2): 023102. doi: 10.1088/1674-1137/ad9259
Abstract:
The total cross sections of the process\begin{document}$ e^+ e^-\to \Lambda_c^+ \bar{\Lambda}_c^- $\end{document} ![]()
![]()
close to the threshold are calculated within the vector meson dominance model. It is found that the theoretical results can describe the current experimental measurements. The nontrivial near-threshold energy dependence of the total cross sections of the process \begin{document}$ e^+ e^-\to \Lambda_c^+ \bar{\Lambda}_c^- $\end{document} ![]()
![]()
can be well reproduced by considering the contributions from charmonium-like states and the Coulomb factor. In particular, the results for the angular distribution parameters about the differential cross section are consistent with the experiments from the BESIII Collaboration. In addition, the relative phase \begin{document}$ \Delta \Phi $\end{document} ![]()
![]()
of the electromagnetic form factors is given, and the spin polarization of \begin{document}$ \Lambda_c^+ $\end{document} ![]()
![]()
is predicted at center-mass energy \begin{document}$ 4.7 \ \rm GeV $\end{document} ![]()
![]()
. It is hopeful that this work will provide a new perspective on the characteristics of the charmed baryon \begin{document}$ \Lambda_c^+ $\end{document} ![]()
![]()
.
The total cross sections of the process
2025, 49(2): 023103. doi: 10.1088/1674-1137/ad9898
Abstract:
Two near-threshold peaking structures with spin-parities of\begin{document}$ J^{PC}=0^{++} $\end{document} ![]()
![]()
were recently discovered by the LHCb Collaboration in the \begin{document}$ D_s^+D_s^- $\end{document} ![]()
![]()
invariant mass distribution of the decay process \begin{document}$ B^+\to D_s^+D_s^-K^+ $\end{document} ![]()
![]()
. In our study, we employed a coupled-channel model to fit the experimental results published by the LHCb Collaboration, simultaneously fitting the model to the invariant mass distributions of \begin{document}$ M_{D_s^+D_s^-} $\end{document} ![]()
![]()
, \begin{document}$ M_{D_s^+K^+} $\end{document} ![]()
![]()
, and \begin{document}$ M_{D_s^-K^+} $\end{document} ![]()
![]()
. We utilized a coupled-channel model to search for the poles of \begin{document}$ X(3960) $\end{document} ![]()
![]()
and \begin{document}$ X_0(4140) $\end{document} ![]()
![]()
. The determination of the poles is meaningful in itself, and it also lays a foundation for future research on \begin{document}$ X(3960) $\end{document} ![]()
![]()
and \begin{document}$ X_0(4140) $\end{document} ![]()
![]()
. Upon turning off the coupled-channel and performing another fit, we observed a change in the fitting quality, and the effect was almost entirely due to the peak of \begin{document}$ X(3960) $\end{document} ![]()
![]()
. Therefore, we suggest that \begin{document}$ X(3960) $\end{document} ![]()
![]()
may not be a kinematic effect.
Two near-threshold peaking structures with spin-parities of
2025, 49(2): 023104. doi: 10.1088/1674-1137/ad8ec3
Abstract:
We investigated the ground state (1S), radially excited states (2S) and (3S), and orbitally excited state (1P) for the heavy charmonia (\begin{document}$ c \bar c $\end{document} ![]()
![]()
) and bottomonia (\begin{document}$ b \bar b $\end{document} ![]()
![]()
) mesons in the light-front quark model (LFQM). The light-front wave functions have been successful in explaining various physical properties of meson states in the past, especially for the 1S and 2S states. However, the radially excited state 3S and orbitally excited state 1P have rarely been investigated. In this study, we considered these two excited states and investigated the electromagnetic form factors (EMFFs), charge radii, decay constants, parton distribution functions (PDFs), and the distribution amplitudes (DAs) for the quarkonia system. For the sake of completeness, we also studied the ground and the first excited states of quarkonia mesons. We also illustrated the 3D wave functions for the radially excited states to study their nodal structures.
We investigated the ground state (1S), radially excited states (2S) and (3S), and orbitally excited state (1P) for the heavy charmonia (
2025, 49(2): 023105. doi: 10.1088/1674-1137/ad9893
Abstract:
This paper is the extension of our previous work entitled ''Searching a systematics for nonfactorizable contributions to\begin{document}$ {B^ - } $\end{document} ![]()
![]()
and \begin{document}$ {\bar B^0} $\end{document} ![]()
![]()
hadronic decays''. Obtaining the factorizable contributions from the spectator-quark model for \begin{document}$ {N_c} = 3, $\end{document} ![]()
![]()
a systematics was identified among the isospin reduced amplitudes for the nonfactorizable terms among \begin{document}$ \bar B \to D\pi /{D^*}\pi /D\rho $\end{document} ![]()
![]()
decay modes. This systematics enables us to derive a generic formula to help predict the branching fractions for \begin{document}$ {\bar B^0} - $\end{document} ![]()
![]()
decays. Inspired by this observation, we extend our analysis to p-wave meson emitting decays of \begin{document}$ B - $\end{document} ![]()
![]()
meson \begin{document}$ \bar B \to PA/PT/PS, $\end{document} ![]()
![]()
particularly \begin{document}$\bar B \to {a_1}D/\pi {D_1}/\pi D'_1/\pi {D_2}/\pi {D_0}$\end{document} ![]()
![]()
, which have similar isospin structures and make predictions for \begin{document}$ {\bar B^0} - $\end{document} ![]()
![]()
decays, for which experimental measurements are not yet available.
This paper is the extension of our previous work entitled ''Searching a systematics for nonfactorizable contributions to
2025, 49(2): 023106. doi: 10.1088/1674-1137/ad94e0
Abstract:
We present improved predictions of a class of event-shape distributions called angularity for a contribution from an effective operator\begin{document}$ H\to gg $\end{document} ![]()
![]()
in Higgs hadronic decay that suffers from large perturbative uncertainties. In the framework of the soft-collinear effective theory, logarithmic terms of the distribution are resummed at NNLL' accuracy, for which a two-loop constant of gluon-jet function for angularity is independently determined using a fit to the fixed-order distribution at the NLO corresponding to \begin{document}$ {\cal{O}}( \alpha_s^2) $\end{document} ![]()
![]()
relative to the Born rate. Our determination has reasonable agreement with the value in a recently released thesis. In the fit, we use an asymptotic form with a fractional power conjectured from recoil corrections at one-loop order, and it improves the accuracy of determining positive values of the angularity parameter a. The resummed distribution is matched to the NLO fixed-order results to make our predictions valid at all angularity values. We also discuss the first and subtracted moments of angularity as a function of a that enable the extraction of information on leading and subleading nonperturbative corrections associated with gluons.
We present improved predictions of a class of event-shape distributions called angularity for a contribution from an effective operator
2025, 49(2): 023107. doi: 10.1088/1674-1137/ad9d1d
Abstract:
Precise determination of the Higgs boson self-couplings is essential for understanding the mechanism underlying electroweak symmetry breaking. However, owing to the limited number of Higgs boson pair events at the LHC, only loose constraints have been established to date. Current constraints are based on the assumption that the cross section is a quadratic function of the trilinear Higgs self-coupling within the\begin{document}$\kappa$\end{document} ![]()
![]()
framework. Incorporating higher-order quantum corrections from virtual Higgs bosons would significantly alter this functional form, introducing new quartic and cubic power dependencies on the trilinear Higgs self-coupling. To derive this new functional form, we propose a specialized renormalization procedure that tracks all Higgs self-couplings at each calculation step. Additionally, we introduce renormalization constants for coupling modifiers within the \begin{document}$\kappa$\end{document} ![]()
![]()
framework to ensure the cancellation of all ultraviolet divergences. With new functional forms of the cross sections in both the gluon-gluon fusion and vector boson fusion channels, the upper limit of \begin{document}$\kappa_{\lambda_{{\rm{3H}}}}=\lambda_{{\rm{3H}}}/\lambda_{{\rm{3H}}}^{{\rm{SM}}}$\end{document} ![]()
![]()
set by the ATLAS (CMS) collaboration is reduced from 6.6 (6.49) to 5.4 (5.37). However, extracting a meaningful constraint on the quartic Higgs self-coupling \begin{document}$\lambda_{{\rm{4H}}}$\end{document} ![]()
![]()
from Higgs boson pair production data remains challenging. We also present the invariant mass distributions of the Higgs boson pair at different values of the self-couplings, which could assist in setting optimal cuts for experimental analysis.
Precise determination of the Higgs boson self-couplings is essential for understanding the mechanism underlying electroweak symmetry breaking. However, owing to the limited number of Higgs boson pair events at the LHC, only loose constraints have been established to date. Current constraints are based on the assumption that the cross section is a quadratic function of the trilinear Higgs self-coupling within the
2025, 49(2): 023108. doi: 10.1088/1674-1137/ad99b1
Abstract:
Tsallis nonextensive statistics is applied to study the transport coefficients of strongly interacting matter within the Polyakov chiral\begin{document}$S U(3) $\end{document} ![]()
![]()
quark mean field model (PCQMF). Nonextensivity is introduced within the PCQMF model through a dimensionless parameter q to examine the viscous properties, such as shear viscosity (η) and bulk viscosity (\begin{document}$\zeta_b$\end{document} ![]()
![]()
), and conductive properties, such as electrical conductivity (\begin{document}$\sigma_{el}$\end{document} ![]()
![]()
) and thermal conductivity (κ). Additionally, some key thermodynamic quantities relevant to the transport coefficients, such as the speed of sound (\begin{document}$c_{sq}^2$\end{document} ![]()
![]()
) and specific heat at constant volume (\begin{document}$c_{vq}$\end{document} ![]()
![]()
), are calculated. The temperature dependence of the transport coefficients is explored through a kinetic theory approach with the relaxation time approximation. The results are compared to those of the extensive case where q approaches 1. The nonextensive q parameter is found to have a significant effect on all transport coefficients. We find that the nonextensive behaviour of the medium enhances specific shear viscosity \begin{document}$\eta/s_q$\end{document} ![]()
![]()
, as well as conductive coefficients \begin{document}$\sigma_{el}/{\rm T}$\end{document} ![]()
![]()
and \begin{document}$\kappa/{\rm T}^2$\end{document} ![]()
![]()
. In contrast, the normalized bulk viscosity \begin{document}$\zeta_b/s_q$\end{document} ![]()
![]()
is found to decrease as the nonextensivity of the medium increases. We also studied the transport coefficients for finite values of chemical potentials. The magnitudes of η, \begin{document}$\sigma_{el}$\end{document} ![]()
![]()
, and κ increase at lower temperatures, while ζb is found to decrease for systems with non-zero chemical potential.
Tsallis nonextensive statistics is applied to study the transport coefficients of strongly interacting matter within the Polyakov chiral
2025, 49(2): 024101. doi: 10.1088/1674-1137/ad9016
Abstract:
We conduct a new investigation of the correlation at saturation (subsaturation) density between the density dependence of symmetry energy and the percentage of the energy-weighted sum rule (EWSR) exhausted by pygmy dipole resonances (PDR) in 68Ni and 132Sn. The calculations are performed within the Skyrme HF (or HF+BCS) plus random phase approximation (RPA) (or quasiparticle RPA) problem using SAMi-J effective interactions. The effect of pairing on the dipole strength distribution of 68Ni and density dependence of the symmetry energy is discussed. Slope parameter L and symmetry energy J at saturation (subsaturation) density are 41.8−90.2 MeV (39.3−64.1 MeV) and 28.0−32.5 MeV (23.0−23.8 MeV), respectively. They are consistent with the currently accepted values except for J at subsaturation density, which is slightly lower than the values obtained from nuclear mass difference measurements and electric dipole polarizability data.
We conduct a new investigation of the correlation at saturation (subsaturation) density between the density dependence of symmetry energy and the percentage of the energy-weighted sum rule (EWSR) exhausted by pygmy dipole resonances (PDR) in 68Ni and 132Sn. The calculations are performed within the Skyrme HF (or HF+BCS) plus random phase approximation (RPA) (or quasiparticle RPA) problem using SAMi-J effective interactions. The effect of pairing on the dipole strength distribution of 68Ni and density dependence of the symmetry energy is discussed. Slope parameter L and symmetry energy J at saturation (subsaturation) density are 41.8−90.2 MeV (39.3−64.1 MeV) and 28.0−32.5 MeV (23.0−23.8 MeV), respectively. They are consistent with the currently accepted values except for J at subsaturation density, which is slightly lower than the values obtained from nuclear mass difference measurements and electric dipole polarizability data.
2025, 49(2): 024102. doi: 10.1088/1674-1137/ad9146
Abstract:
The ground-state bands in the\begin{document}$ N=152 $\end{document} ![]()
![]()
isotones 254No, 255Lr, and 256Rf are investigated using the cranked shell model (CSM), with pairing correlations treated via the particle-number-conserving (PNC) method. The experimentally kinematic moments of inertia are reproduced well by the PNC-CSM calculations, and the contributions to \begin{document}$ J^{(1)} $\end{document} ![]()
![]()
from neutrons exhibit remarkable similarities. Compared to 254No, the observed identity of \begin{document}$ J^{(1)} $\end{document} ![]()
![]()
in 256Rf is a result of the negligible contribution to \begin{document}$ J^{(1)} $\end{document} ![]()
![]()
from the two additional protons partially occupying the \begin{document}$ \pi [514]7/2 $\end{document} ![]()
![]()
, \begin{document}$ \pi [521]1/2 $\end{document} ![]()
![]()
, and \begin{document}$ \pi [624]9/2 $\end{document} ![]()
![]()
orbitals. The increase in \begin{document}$ J^{(1)} $\end{document} ![]()
![]()
observed in the odd-A nucleus 255Lr, compared to those of the neighboring even-even isotones 254No and 256Rf, is attributed to the contribution of the proton \begin{document}$ j^{(1)}([521]1/2) $\end{document} ![]()
![]()
owing to the blocking of the nucleon on the proton \begin{document}$ \pi [521]1/2 $\end{document} ![]()
![]()
orbital. Compared to the case of the heavier isotones 255Lr and 256Rf, the different behavior of the \begin{document}$ B(E2) $\end{document} ![]()
![]()
value above \begin{document}$ \hbar\omega \sim 0.20 $\end{document} ![]()
![]()
MeV in 254No is predicted to be due to the level \begin{document}$ \pi [514]7/2 $\end{document} ![]()
![]()
crossing \begin{document}$ \pi [521]1/2 $\end{document} ![]()
![]()
.
The ground-state bands in the
2025, 49(2): 024103. doi: 10.1088/1674-1137/ad9895
Abstract:
Using the inelastic scattering of charmed strange mesons by open-charm mesons in hadronic matter produced in Pb-Pb collisions at the Large Hadron Collider, we study the production of\begin{document}$\psi (4040)$\end{document} ![]()
![]()
, \begin{document}$\psi (4160)$\end{document} ![]()
![]()
, and \begin{document}$\psi (4415)$\end{document} ![]()
![]()
mesons. Master rate equations are established for inelastic scattering. The scattering is caused by quark interchange in association with color interactions between all constituent pairs in different mesons. We consider fifty-one reactions between charmed strange and open-charm mesons. Unpolarized cross sections for the reactions are obtained from a temperature-dependent interquark potential. The temperature dependence of the cross sections causes the contributions of the reactions to the production of \begin{document}$\psi (4040)$\end{document} ![]()
![]()
, \begin{document}$\psi (4160)$\end{document} ![]()
![]()
, and \begin{document}$\psi (4415)$\end{document} ![]()
![]()
to change with decreasing temperature during the evolution of hadronic matter. For central Pb-Pb collisions at \begin{document}$\sqrt{s_{_{NN}}}=5.02$\end{document} ![]()
![]()
TeV, the master rate equations reveal that the number density of \begin{document}$\psi(4040)$\end{document} ![]()
![]()
is larger than that of \begin{document}$\psi(4160)$\end{document} ![]()
![]()
, whose number density is larger than that of \begin{document}$\psi(4415)$\end{document} ![]()
![]()
.
Using the inelastic scattering of charmed strange mesons by open-charm mesons in hadronic matter produced in Pb-Pb collisions at the Large Hadron Collider, we study the production of
2025, 49(2): 024104. doi: 10.1088/1674-1137/ad8e40
Abstract:
This study investigated the tetrahedral structure in 80Zr and Lambda (Λ) impurity effect in\begin{document}$ ^{81}_{\; \Lambda} $\end{document} ![]()
![]()
Zr using the multidimensionally constrained relativistic Hartree-Bogoliubov model. The ground states of both 80Zr and \begin{document}$ ^{81}_{\; \Lambda} $\end{document} ![]()
![]()
Zr exhibit a tetrahedral configuration, accompanied by prolate and axial-octupole shaped isomers. Our calculations reveal that there are changes in the deformation parameters \begin{document}$ \beta_{20} $\end{document} ![]()
![]()
, \begin{document}$ \beta_{30} $\end{document} ![]()
![]()
, and \begin{document}$ \beta_{32} $\end{document} ![]()
![]()
upon Λ binding to 80Zr, except for \begin{document}$ \beta_{32} $\end{document} ![]()
![]()
when Λ occupies p-orbits. Compared to the two shape isomers, the Λ particle exhibits weaker binding energy in the tetrahedral state when occupying the \begin{document}$ 1/2^+[000](\Lambda_s) $\end{document} ![]()
![]()
or \begin{document}$ 1/2^-[110] $\end{document} ![]()
![]()
single-particle state. In contrast, the strongest binding occurs for the Λ particle in the \begin{document}$ 1/2^-[101] $\end{document} ![]()
![]()
state with tetrahedral shape. Besides, a large Λ separation energy may not necessarily correlate with a significant overlap between the density distributions of the Λ particle and nuclear core, particularly for tetrahedral hypernuclei.
This study investigated the tetrahedral structure in 80Zr and Lambda (Λ) impurity effect in
2025, 49(2): 024105. doi: 10.1088/1674-1137/ad99b0
Abstract:
Although a 3rd-order difference formula has often been employed to investigate the odd-even staggering (OES) in experimental cross sections, other formulas can also be very useful. In this work, three formulas, the 2nd, 4th, and 5th-order difference formulas, are proposed for systematic OES studies. These new difference formulas with different orders are applied to extract the OES magnitudes in extensive accurate cross sections measured in different fragmentation and spallation reaction systems over a broad energy range. According to comparisons of these (2nd, 4th, and 5th-order) OES magnitudes derived from different reaction systems, they almost do not rely on the projectile-target combinations or the projectile energy. A similar universality was observed for the 3rd-order OES magnitudes obtained from various reaction systems in our previous studies of the 3rd-order OES. The weighted average values of the 2nd, 4th, and 5th-order OES magnitudes extracted from different experimental datasets are recommended as the 2nd, 4th, and 5th-order OES evaluations, respectively. Finally, comparisons of these (new) 2nd, 4th, 5th, and previous 3rd-order OES evaluations support that these OES evaluations with different orders are consistent and that all the difference formulas with different orders are applicable to OES studies.
Although a 3rd-order difference formula has often been employed to investigate the odd-even staggering (OES) in experimental cross sections, other formulas can also be very useful. In this work, three formulas, the 2nd, 4th, and 5th-order difference formulas, are proposed for systematic OES studies. These new difference formulas with different orders are applied to extract the OES magnitudes in extensive accurate cross sections measured in different fragmentation and spallation reaction systems over a broad energy range. According to comparisons of these (2nd, 4th, and 5th-order) OES magnitudes derived from different reaction systems, they almost do not rely on the projectile-target combinations or the projectile energy. A similar universality was observed for the 3rd-order OES magnitudes obtained from various reaction systems in our previous studies of the 3rd-order OES. The weighted average values of the 2nd, 4th, and 5th-order OES magnitudes extracted from different experimental datasets are recommended as the 2nd, 4th, and 5th-order OES evaluations, respectively. Finally, comparisons of these (new) 2nd, 4th, 5th, and previous 3rd-order OES evaluations support that these OES evaluations with different orders are consistent and that all the difference formulas with different orders are applicable to OES studies.
2025, 49(2): 024106. doi: 10.1088/1674-1137/ad9f43
Abstract:
Assuming the equilibrium of the Quantum Chromodynamics (QCD) system, we investigate the critical behavior of the sixth-, eighth-, and tenth-order susceptibilities of the net-baryon number through mapping the results in the three-dimensional Ising model to that of QCD. Both the leading and sub-leading critical contributions from the Ising model are discussed. When considering only the leading critical contribution, the density plots of susceptibilities of the same order demonstrate a consistent general pattern independent of the values of the mapping parameters. As the critical point is approached from the crossover side, a negative dip followed by a positive peak is observed in the\begin{document}$ \mu_B $\end{document} ![]()
![]()
dependence of the three different orders of susceptibilities. When sub-leading critical contribution is considered, modifications become apparent in the density plots of the susceptibilities. The emergence of negative dips in the \begin{document}$ \mu_B $\end{document} ![]()
![]()
dependence of the susceptibilities is not an absolute phenomenon, whereas the positive peak structure is a more robust feature of the critical point.
Assuming the equilibrium of the Quantum Chromodynamics (QCD) system, we investigate the critical behavior of the sixth-, eighth-, and tenth-order susceptibilities of the net-baryon number through mapping the results in the three-dimensional Ising model to that of QCD. Both the leading and sub-leading critical contributions from the Ising model are discussed. When considering only the leading critical contribution, the density plots of susceptibilities of the same order demonstrate a consistent general pattern independent of the values of the mapping parameters. As the critical point is approached from the crossover side, a negative dip followed by a positive peak is observed in the
2025, 49(2): 025101. doi: 10.1088/1674-1137/ad8bb0
Abstract:
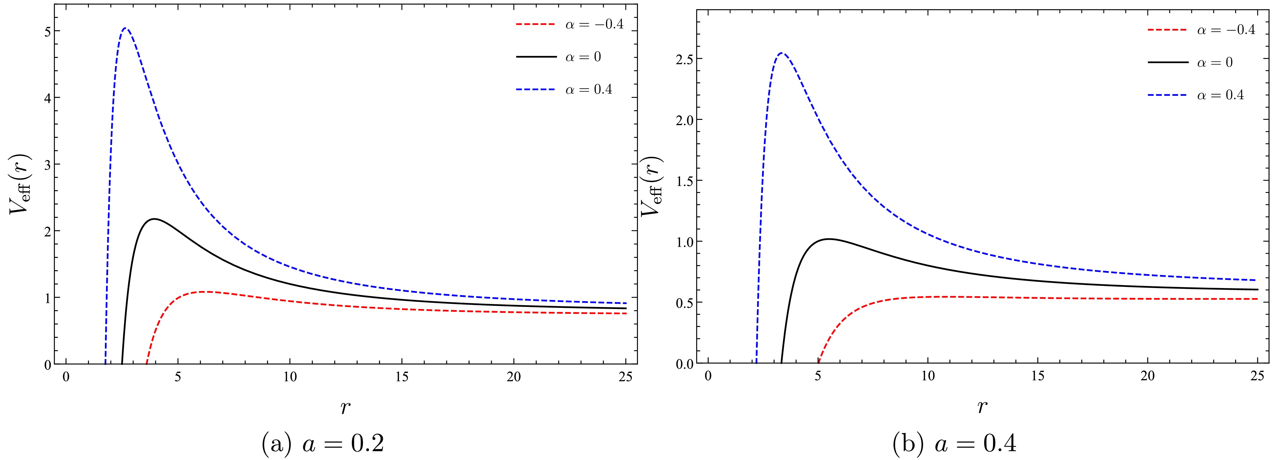
We investigate the accretion of Vlasov gas onto a static, spherically symmetric black hole (BH) influenced by the Kalb–Ramond (KR) field, focusing on the effects of Lorentz symmetry breaking (LSB) parameters. We employ the Maxwell–Jüttner distribution to model the gas at infinity and derive key quantities such as the particle current density and mass accretion rate. Our findings revealed that increasing the LSB parameter results in a decrease in mass accretion rate. We also present explicit formulations of the accretion rate in the high-temperature limit; the result is significantly different from that of the Bumblebee model.
We investigate the accretion of Vlasov gas onto a static, spherically symmetric black hole (BH) influenced by the Kalb–Ramond (KR) field, focusing on the effects of Lorentz symmetry breaking (LSB) parameters. We employ the Maxwell–Jüttner distribution to model the gas at infinity and derive key quantities such as the particle current density and mass accretion rate. Our findings revealed that increasing the LSB parameter results in a decrease in mass accretion rate. We also present explicit formulations of the accretion rate in the high-temperature limit; the result is significantly different from that of the Bumblebee model.
2025, 49(2): 025102. doi: 10.1088/1674-1137/ad873d
Abstract:
As a generalization of Einstein's theory, Horava-Lifshitz gravity has attracted significant interest owing to its healthy ultraviolet behavior. In this paper, we analyze the impact of the Horava-Lifshitz corrections on the gravitomagnetic field. We propose a new measurement method for the planetary gravitomagnetic field based on space-based laser interferometry, which is further used to constrain the Horava-Lifshitz parameters. Our analysis shows that high-precision laser gradiometers can indeed limit the parameters in Horava-Lifshitz gravity and improve the results by one or two orders of magnitude compared with the existing theories. Our novel method also provides insights into how to constrain the parameters in the modified gravitational theory to gain deeper understanding of this complex framework and pave the way for potential technological advancements in the field.
As a generalization of Einstein's theory, Horava-Lifshitz gravity has attracted significant interest owing to its healthy ultraviolet behavior. In this paper, we analyze the impact of the Horava-Lifshitz corrections on the gravitomagnetic field. We propose a new measurement method for the planetary gravitomagnetic field based on space-based laser interferometry, which is further used to constrain the Horava-Lifshitz parameters. Our analysis shows that high-precision laser gradiometers can indeed limit the parameters in Horava-Lifshitz gravity and improve the results by one or two orders of magnitude compared with the existing theories. Our novel method also provides insights into how to constrain the parameters in the modified gravitational theory to gain deeper understanding of this complex framework and pave the way for potential technological advancements in the field.
2025, 49(2): 025103. doi: 10.1088/1674-1137/ad9148
Abstract:
By incorporating first-order QED effects, we explored the shadows of Kerr-Newman black holes with a magnetic charge through the numerical backward ray-tracing method. Our investigation encompassed both the direct influence of the electromagnetic field on light rays and the distortion of the background spacetime metric due to QED corrections. We found that the area of the shadow increases with the QED effect, mainly owing to the fact that the photons travel more slowly in the effective medium, making them more susceptible to being trapped by the black hole.
By incorporating first-order QED effects, we explored the shadows of Kerr-Newman black holes with a magnetic charge through the numerical backward ray-tracing method. Our investigation encompassed both the direct influence of the electromagnetic field on light rays and the distortion of the background spacetime metric due to QED corrections. We found that the area of the shadow increases with the QED effect, mainly owing to the fact that the photons travel more slowly in the effective medium, making them more susceptible to being trapped by the black hole.
2025, 49(2): 025104. doi: 10.1088/1674-1137/ad9453
Abstract:
In this paper, we explore the quasinormal modes (QNMs) of a black hole surrounded by a fluid of strings within the framework of Rastall gravity. We analyze the behavior of scalar, electromagnetic, and gravitational perturbations, focusing on the influences of black hole charge Q and angular momentum l on the quasinormal frequencies. Our numerical results reveal a significant dependence on parameter ε. These trends are consistent across different types of perturbations, emphasizing the relationship between black hole parameters and QNM behavior.
In this paper, we explore the quasinormal modes (QNMs) of a black hole surrounded by a fluid of strings within the framework of Rastall gravity. We analyze the behavior of scalar, electromagnetic, and gravitational perturbations, focusing on the influences of black hole charge Q and angular momentum l on the quasinormal frequencies. Our numerical results reveal a significant dependence on parameter ε. These trends are consistent across different types of perturbations, emphasizing the relationship between black hole parameters and QNM behavior.
2025, 49(2): 025105. doi: 10.1088/1674-1137/ad972c
Abstract:
We investigate the second order energy density perturbation\begin{document}$ \delta^{(2)} $\end{document} ![]()
![]()
induced by small-scale Gaussian and local-type non-Gaussian primordial curvature perturbations. The relative abundance of primordial black holes (PBHs) is calculated in terms of the probability density functions (PDFs) of the total energy density perturbation \begin{document}$ \delta_r=\delta^{(1)}+\frac{1}{2}\delta^{(2)} $\end{document} ![]()
![]()
. The effects of the second order density perturbation greatly reduce the upper bounds of small-scale power spectra of primordial curvature perturbations by one to two orders of magnitude. For a log-normal primordial power spectrum, its amplitude \begin{document}$ A_{\zeta} $\end{document} ![]()
![]()
is constrained to be approximately \begin{document}$ A_{\zeta}\sim 3\times10^{-3} $\end{document} ![]()
![]()
, and for the local-type non-Gaussianity with \begin{document}$ f_{\mathrm{NL}}=10 $\end{document} ![]()
![]()
, the upper bound of \begin{document}$ A_{\zeta} $\end{document} ![]()
![]()
is approximately \begin{document}$ 2.5\times10^{-4} $\end{document} ![]()
![]()
.
We investigate the second order energy density perturbation
2025, 49(2): 025106. doi: 10.1088/1674-1137/ad93b8
Abstract:
In this paper, we propose a method of fixing the leading behaviors of three dimensional geometries from the dual CFT2 entanglement entropies. We employ only the holographic principle and do not use any assumption about the AdS/CFT correspondence and bulk geometry. Our strategy involves using both UV and IR-like CFT2 entanglement entropies to fix the bulk geodesics. With a simple trick, the metric can be extracted from the geodesics. As examples, we fix the leading behaviors of the pure AdS3 metric from the entanglement entropies of free CFT2 and, more importantly, the BTZ black hole from the entanglement entropies of finite temperature CFT2. Consequently, CFT2 with finite size or topological defects can be determined through simple transformations. Following the same steps, in principle, the leading behaviors of all three dimensional (topologically distinct) holographic classical geometries from the dual CFT2 entanglement entropies can be fixed.
In this paper, we propose a method of fixing the leading behaviors of three dimensional geometries from the dual CFT2 entanglement entropies. We employ only the holographic principle and do not use any assumption about the AdS/CFT correspondence and bulk geometry. Our strategy involves using both UV and IR-like CFT2 entanglement entropies to fix the bulk geodesics. With a simple trick, the metric can be extracted from the geodesics. As examples, we fix the leading behaviors of the pure AdS3 metric from the entanglement entropies of free CFT2 and, more importantly, the BTZ black hole from the entanglement entropies of finite temperature CFT2. Consequently, CFT2 with finite size or topological defects can be determined through simple transformations. Following the same steps, in principle, the leading behaviors of all three dimensional (topologically distinct) holographic classical geometries from the dual CFT2 entanglement entropies can be fixed.
2025, 49(2): 025107. doi: 10.1088/1674-1137/ad9894
Abstract:
This manuscript investigates a Schwarzschild black hole surrounded by perfect fluid dark matter embedded in a cloud of strings. The effects of its surroundings on thermodynamics, timelike and null geodesics, shadows, and quasinormal modes are analyzed. It is demonstrated that changes in spacetime, induced by the surrounding environment, significantly influence the stability, thermal phases, energy dynamics, particle trajectories, and observable features of the black hole's shadow, as well as its oscillation frequency and decay rate.
This manuscript investigates a Schwarzschild black hole surrounded by perfect fluid dark matter embedded in a cloud of strings. The effects of its surroundings on thermodynamics, timelike and null geodesics, shadows, and quasinormal modes are analyzed. It is demonstrated that changes in spacetime, induced by the surrounding environment, significantly influence the stability, thermal phases, energy dynamics, particle trajectories, and observable features of the black hole's shadow, as well as its oscillation frequency and decay rate.
2025, 49(2): 025108. doi: 10.1088/1674-1137/ad93b7
Abstract:
In this paper, using Hamiltonian formalism, we obtain solutions for constant-roll inflation according to the noncommutativity and the non-minimal coupling field of the Lagrangian. We consider three different types of couplings: power-law, exponential, and logarithmic. Subsequently, by plotting some figures, we study the effects of these coupling in constant-roll inflation with noncommutative parameters. We identify and specify the permissible regions of each case of the swampland conjecture and determine the best model. We find that the exponential, logarithmic, and power-law couplings with\begin{document}$\theta>0$\end{document} ![]()
![]()
agree with the dS swampland conjecture. These couplings provide similar results in both cases, some of which are compatible and some incompatible with the dS swampland conjectures. Moreover, \begin{document}$\theta>0$\end{document} ![]()
![]()
is more compatible than \begin{document}$\theta<0$\end{document} ![]()
![]()
, and the consistency value in the second boundary condition is much higher than in the first. The order of better compatibility of couplings with the swampland conjecture is ranked as follows: exponential non-minimal coupling, logarithmic non-minimal coupling, and power-law non-minimal coupling. For each type of coupling, we calculate the values of the scalar spectral index \begin{document}$n_s$\end{document} ![]()
![]()
and the tensor-to-scalar ratio r for two different potentials and compare them with the observational data from Planck 2018. We also determine the range of the free parameters \begin{document}$(a,b,q)$\end{document} ![]()
![]()
of the further refining de Sitter swampland conjecture (FRDSSC) that make the model consistent with the conjecture. We find that the model satisfies the FRDSSC for all types of couplings and both potentials, with some constraints on the parameters.
In this paper, using Hamiltonian formalism, we obtain solutions for constant-roll inflation according to the noncommutativity and the non-minimal coupling field of the Lagrangian. We consider three different types of couplings: power-law, exponential, and logarithmic. Subsequently, by plotting some figures, we study the effects of these coupling in constant-roll inflation with noncommutative parameters. We identify and specify the permissible regions of each case of the swampland conjecture and determine the best model. We find that the exponential, logarithmic, and power-law couplings with
2025, 49(2): 025109. doi: 10.1088/1674-1137/ad9899
Abstract:
A white hole is simply a region of spacetime described by general relativity. Black holes are often assumed to form through star collapses. Based on such an assumption, the white hole region does not present. Recent research on quantum gravity indicates that a black hole must convert into a white one to avoid the singularity difficulty encountered in general relativity. If such a theory is true, it is important to ask how white holes can be observed. Anything inside a white hole must be pushed outside. However, if a white hole is empty, nothing will escape from it. We can only observe the interaction behavior between the objects falling outside and the white hole. In this paper, we observe that the structure of the accretion disk around a white hole is exactly the same as the one around a black hole. The only possibility to distinguish a white hole from a black one is the light passing through the white hole. The image properties of white holes for such scenarios are investigated in this paper. Based on our analysis and current observation facts, we cannot certainly determine if M87 and Sgr A* are black or white holes.
A white hole is simply a region of spacetime described by general relativity. Black holes are often assumed to form through star collapses. Based on such an assumption, the white hole region does not present. Recent research on quantum gravity indicates that a black hole must convert into a white one to avoid the singularity difficulty encountered in general relativity. If such a theory is true, it is important to ask how white holes can be observed. Anything inside a white hole must be pushed outside. However, if a white hole is empty, nothing will escape from it. We can only observe the interaction behavior between the objects falling outside and the white hole. In this paper, we observe that the structure of the accretion disk around a white hole is exactly the same as the one around a black hole. The only possibility to distinguish a white hole from a black one is the light passing through the white hole. The image properties of white holes for such scenarios are investigated in this paper. Based on our analysis and current observation facts, we cannot certainly determine if M87 and Sgr A* are black or white holes.
2025, 49(2): 025110. doi: 10.1088/1674-1137/ad99b2
Abstract:
We investigated the impact of\begin{document}$f(R,L_m,T)$\end{document} ![]()
![]()
gravity on the internal structure of compact stars, expecting this theory to manifest prominently in the high-density cores of such stars. We considered the algebraic function \begin{document}$f(R,L_m,T) = R + \alpha T L_m$\end{document} ![]()
![]()
, where α represents the matter-geometry coupling constant. We specifically chose the matter Lagrangian density \begin{document}$L_m= -\rho$\end{document} ![]()
![]()
to explore compact stars with anisotropic pressure. To this end, we employed the MIT bag model as an equation of state. Subsequently, we numerically solved the hydrostatic equilibrium equations to obtain mass-radius relations for quark stars (QSs), examining static stability criteria, adiabatic index, and speed of sound. Finally, we used recent astrophysical data to constrain the coupling parameter α, which may lead to either larger or smaller masses for QSs, compared to their counterparts in general relativity.
We investigated the impact of
ISSN 1674-1137 CN 11-5641/O4
Original research articles, Ietters and reviews Covering theory and experiments in the fieids of
- Particle physics
- Nuclear physics
- Particle and nuclear astrophysics
- Cosmology
Author benefits
- A SCOAP3 participating journal - free Open Access publication for qualifying articles
- Average 24 days to first decision
- Fast-track publication for selected articles
- Subscriptions at over 3000 institutions worldwide
- Free English editing on all accepted articles
News
- CPC Announces 2025 Outstanding Reviewers
- Chinese Physics C Outstanding Reviewer Award 2023
- Impact factor of Chinese Physics C is 3.6 in 2022
- 2022 CPC Outstanding Reviewer Awards
- The 2023 Chinese New Year-Office closure
Cover Story
- Cover Story (Issue 2, 2026) |The images of Brans-Dicke-Kerr type naked singularities
- Cover Story (Issue 1, 2026) A focused review of quintom cosmology: from quintom dark energy to quintom bounce
- Cover Story (Issue 11, 2025) The Earth-Magnet Assists DAMPE in Studying Cosmic Anti-Electrons
- Cover Story (Issue 9, 2025): Precise measurement of Ïc0 resonance parameters and branching fractions of Ïc0,c2âÏï¼Ïï¼/ K+K-
- Cover Story (Issue 8, 2025) A Novel Perspective on Spacetime Perturbations: Bridging Riemannian and Teleparallel Frameworks



















